Suppr超能文献

多能性、分化与重编程:一个具有表观遗传反馈调控的基因表达动力学模型

Pluripotency, Differentiation, and Reprogramming: A Gene Expression Dynamics Model with Epigenetic Feedback Regulation.

作者信息

Miyamoto Tadashi, Furusawa Chikara, Kaneko Kunihiko

机构信息

Department of Basic Science, The University of Tokyo, Meguro-ku, Tokyo, Japan.

Quantitative Biology Center (QBiC), RIKEN, Suita, Osaka, Japan.

出版信息

PLoS Comput Biol. 2015 Aug 26;11(8):e1004476. doi: 10.1371/journal.pcbi.1004476. eCollection 2015 Aug.

Abstract

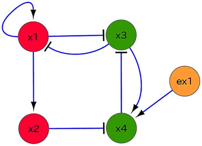
Embryonic stem cells exhibit pluripotency: they can differentiate into all types of somatic cells. Pluripotent genes such as Oct4 and Nanog are activated in the pluripotent state, and their expression decreases during cell differentiation. Inversely, expression of differentiation genes such as Gata6 and Gata4 is promoted during differentiation. The gene regulatory network controlling the expression of these genes has been described, and slower-scale epigenetic modifications have been uncovered. Although the differentiation of pluripotent stem cells is normally irreversible, reprogramming of cells can be experimentally manipulated to regain pluripotency via overexpression of certain genes. Despite these experimental advances, the dynamics and mechanisms of differentiation and reprogramming are not yet fully understood. Based on recent experimental findings, we constructed a simple gene regulatory network including pluripotent and differentiation genes, and we demonstrated the existence of pluripotent and differentiated states from the resultant dynamical-systems model. Two differentiation mechanisms, interaction-induced switching from an expression oscillatory state and noise-assisted transition between bistable stationary states, were tested in the model. The former was found to be relevant to the differentiation process. We also introduced variables representing epigenetic modifications, which controlled the threshold for gene expression. By assuming positive feedback between expression levels and the epigenetic variables, we observed differentiation in expression dynamics. Additionally, with numerical reprogramming experiments for differentiated cells, we showed that pluripotency was recovered in cells by imposing overexpression of two pluripotent genes and external factors to control expression of differentiation genes. Interestingly, these factors were consistent with the four Yamanaka factors, Oct4, Sox2, Klf4, and Myc, which were necessary for the establishment of induced pluripotent stem cells. These results, based on a gene regulatory network and expression dynamics, contribute to our wider understanding of pluripotency, differentiation, and reprogramming of cells, and they provide a fresh viewpoint on robustness and control during development.

摘要

胚胎干细胞具有多能性

它们可以分化为所有类型的体细胞。多能性基因如Oct4和Nanog在多能状态下被激活,其表达在细胞分化过程中降低。相反,分化基因如Gata6和Gata4的表达在分化过程中被促进。控制这些基因表达的基因调控网络已被描述,并且已经发现了较慢尺度的表观遗传修饰。尽管多能干细胞的分化通常是不可逆的,但通过实验操作,可以通过某些基因的过表达使细胞重编程以恢复多能性。尽管有这些实验进展,但分化和重编程的动力学和机制尚未完全理解。基于最近的实验结果,我们构建了一个简单的基因调控网络,包括多能性和分化基因,并从所得的动力学系统模型中证明了多能状态和分化状态的存在。在模型中测试了两种分化机制,即从表达振荡状态的相互作用诱导切换和双稳态静止状态之间的噪声辅助转变。发现前者与分化过程相关。我们还引入了代表表观遗传修饰的变量,其控制基因表达的阈值。通过假设表达水平和表观遗传变量之间的正反馈,我们观察到了表达动力学中的分化。此外,通过对分化细胞的数值重编程实验,我们表明通过施加两个多能性基因的过表达和控制分化基因表达的外部因素,可以使细胞恢复多能性。有趣的是,这些因素与诱导多能干细胞建立所需的四个山中因子Oct4、Sox2、Klf4和Myc一致。这些基于基因调控网络和表达动力学的结果有助于我们更广泛地理解细胞的多能性、分化和重编程,并为发育过程中的稳健性和控制提供了新的观点。

https://cdn.ncbi.nlm.nih.gov/pmc/blobs/5db6/4550282/defa720a8c1f/pcbi.1004476.g001.jpg

文献AI研究员

20分钟写一篇综述,助力文献阅读效率提升50倍。

立即体验

用中文搜PubMed

大模型驱动的PubMed中文搜索引擎

马上搜索

文档翻译

学术文献翻译模型,支持多种主流文档格式。

立即体验