Suppr超能文献

人乳头瘤病毒L2保守肽在腺病毒5型六邻体蛋白中的衣壳展示:一种候选预防性人乳头瘤病毒疫苗方法。

Capsid display of a conserved human papillomavirus L2 peptide in the adenovirus 5 hexon protein: a candidate prophylactic hpv vaccine approach.

作者信息

Wu Wai-Hong, Alkutkar Tanwee, Karanam Balasubramanyan, Roden Richard B S, Ketner Gary, Ibeanu Okechukwu A

机构信息

Department of Pathology, Johns Hopkins University School of Medicine, Baltimore, MD, USA.

W. Harry Feinstone Department of Molecular Microbiology and Immunology, Johns Hopkins University Bloomberg School of Public Health, Baltimore, MD, USA.

出版信息

Virol J. 2015 Sep 11;12:140. doi: 10.1186/s12985-015-0364-7.

Abstract

BACKGROUND

Infection by any one of 15 high risk human papillomavirus (hrHPV) types causes most invasive cervical cancers. Their oncogenic genome is encapsidated by L1 (major) and L2 (minor) coat proteins. Current HPV prophylactic vaccines are composed of L1 virus-like particles (VLP) that elicit type restricted immunity. An N-terminal region of L2 protein identified by neutralizing monoclonal antibodies comprises a protective epitope conserved among HPV types, but it is weakly immunogenic compared to L1 VLP. The major antigenic capsid protein of adenovirus type 5 (Ad5) is hexon which contains 9 hypervariable regions (HVRs) that form the immunodominant neutralizing epitopes. Insertion of weakly antigenic foreign B cell epitopes into these HVRs has shown promise in eliciting robust neutralizing antibody responses. Thus here we sought to generate a broadly protective prophylactic HPV vaccine candidate by inserting a conserved protective L2 epitope into the Ad5 hexon protein for VLP-like display.

METHODS

Four recombinant adenoviruses were generated without significant compromise of viral replication by introduction of HPV16 amino acids L2 12-41 into Ad5 hexon, either by insertion into, or substitution of, either hexon HVR1 or HVR5.

RESULTS

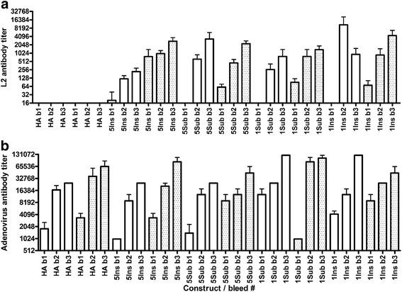
Vaccination of mice three times with each of these L2-recombinant adenoviruses induced similarly robust adenovirus-specific serum antibody but weak titers against L2. These L2-specific responses were enhanced by vaccination in the presence of alum and monophoryl lipid A adjuvant. Sera obtained after the third immunization exhibited low neutralizing antibody titers against HPV16 and HPV73. L2-recombinant adenovirus vaccination without adjuvant provided partial protection of mice against HPV16 challenge to either the vagina or skin. In contrast, vaccination with each L2-recombinant adenovirus formulated in adjuvant provided robust protection against vaginal challenge with HPV16, but not against HPV56.

CONCLUSION

We conclude that introduction of HPV16 L2 12-41 epitope into Ad5 hexon HVR1 or HVR5 is a feasible method of generating a protective HPV vaccine, but further optimization is required to strengthen the L2-specific response and broaden protection to the more diverse hrHPV.

摘要

背景

15种高危型人乳头瘤病毒(hrHPV)中的任何一种感染都会引发大多数浸润性宫颈癌。其致癌基因组由L1(主要)和L2(次要)衣壳蛋白包裹。目前的HPV预防性疫苗由L1病毒样颗粒(VLP)组成,可引发型特异性免疫。通过中和单克隆抗体鉴定的L2蛋白的N端区域包含一个在HPV各型之间保守的保护性表位,但与L1 VLP相比,其免疫原性较弱。5型腺病毒(Ad5)的主要抗原衣壳蛋白是六邻体,它含有9个高变区(HVR),这些高变区形成免疫显性中和表位。将弱抗原性的外源B细胞表位插入这些高变区已显示出有望引发强烈的中和抗体反应。因此,我们在此试图通过将一个保守的保护性L2表位插入Ad5六邻体蛋白以进行类VLP展示,来生成一种具有广泛保护作用的预防性HPV疫苗候选物。

方法

通过将HPV16氨基酸L2 12 - 41引入Ad5六邻体,分别插入或替换六邻体HVR1或HVR5,构建了四种重组腺病毒,且未对病毒复制造成显著影响。

结果

用这些L2重组腺病毒分别对小鼠进行三次免疫接种,诱导出了类似强度的腺病毒特异性血清抗体,但针对L2的抗体滴度较低。在明矾和单磷酰脂质A佐剂存在的情况下进行免疫接种,可增强这些L2特异性反应。第三次免疫后获得的血清对HPV16和HPV73的中和抗体滴度较低。无佐剂的L2重组腺病毒免疫接种为小鼠提供了对HPV16阴道或皮肤攻击的部分保护。相比之下,用佐剂配制的每种L2重组腺病毒进行免疫接种,可对HPV16阴道攻击提供强大的保护,但对HPV56无效。

结论

我们得出结论,将HPV16 L2 12 - 41表位引入Ad5六邻体HVR1或HVR5是生成保护性HPV疫苗的一种可行方法,但需要进一步优化以增强L2特异性反应,并将保护范围扩大到更多样化的hrHPV。

https://cdn.ncbi.nlm.nih.gov/pmc/blobs/c712/4566294/4f94b9048c0c/12985_2015_364_Fig1_HTML.jpg

文献AI研究员

20分钟写一篇综述,助力文献阅读效率提升50倍。

立即体验

用中文搜PubMed

大模型驱动的PubMed中文搜索引擎

马上搜索

文档翻译

学术文献翻译模型,支持多种主流文档格式。

立即体验