Åkerfelt Malin, Bayramoglu Neslihan, Robinson Sean, Toriseva Mervi, Schukov Hannu-Pekka, Härmä Ville, Virtanen Johannes, Sormunen Raija, Kaakinen Mika, Kannala Juho, Eklund Lauri, Heikkilä Janne, Nees Matthias
Turku Centre for Biotechnology, University of Turku, Turku, FI-20520, Finland.
VTT Technical Research Centre of Finland, Turku, FI-20521, Finland.
Oncotarget. 2015 Oct 6;6(30):30035-56. doi: 10.18632/oncotarget.5046.
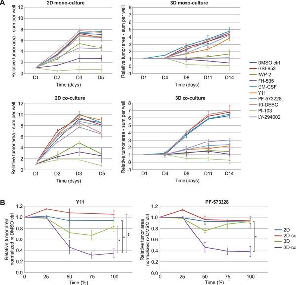
Cancer-associated fibroblasts (CAFs) constitute an important part of the tumor microenvironment and promote invasion via paracrine functions and physical impact on the tumor. Although the importance of including CAFs into three-dimensional (3D) cell cultures has been acknowledged, computational support for quantitative live-cell measurements of complex cell cultures has been lacking. Here, we have developed a novel automated pipeline to model tumor-stroma interplay, track motility and quantify morphological changes of 3D co-cultures, in real-time live-cell settings. The platform consists of microtissues from prostate cancer cells, combined with CAFs in extracellular matrix that allows biochemical perturbation. Tracking of fibroblast dynamics revealed that CAFs guided the way for tumor cells to invade and increased the growth and invasiveness of tumor organoids. We utilized the platform to determine the efficacy of inhibitors in prostate cancer and the associated tumor microenvironment as a functional unit. Interestingly, certain inhibitors selectively disrupted tumor-CAF interactions, e.g. focal adhesion kinase (FAK) inhibitors specifically blocked tumor growth and invasion concurrently with fibroblast spreading and motility. This complex phenotype was not detected in other standard in vitro models. These results highlight the advantage of our approach, which recapitulates tumor histology and can significantly improve cancer target validation in vitro.
癌症相关成纤维细胞(CAFs)是肿瘤微环境的重要组成部分,并通过旁分泌功能以及对肿瘤的物理影响促进肿瘤侵袭。尽管将CAFs纳入三维(3D)细胞培养的重要性已得到认可,但对于复杂细胞培养的定量活细胞测量仍缺乏计算支持。在此,我们开发了一种新型自动化流程,用于在实时活细胞环境中模拟肿瘤-基质相互作用、追踪运动性并量化3D共培养物的形态变化。该平台由前列腺癌细胞的微组织组成,与细胞外基质中的CAFs相结合,允许进行生化扰动。对成纤维细胞动态的追踪显示,CAFs为肿瘤细胞的侵袭指引方向,并增加了肿瘤类器官的生长和侵袭性。我们利用该平台确定抑制剂在前列腺癌及相关肿瘤微环境中作为一个功能单元的疗效。有趣的是,某些抑制剂选择性地破坏肿瘤-CAF相互作用,例如粘着斑激酶(FAK)抑制剂在阻断肿瘤生长和侵袭的同时,还能特异性地阻止成纤维细胞的铺展和运动。在其他标准体外模型中未检测到这种复杂的表型。这些结果突出了我们方法的优势,该方法概括了肿瘤组织学,并且可以显著改善体外癌症靶点验证。