Suppr超能文献

在狭缝纳米孔中形成的多层六角形硅。

Multilayer hexagonal silicon forming in slit nanopore.

作者信息

He Yezeng, Li Hui, Sui Yanwei, Qi Jiqiu, Wang Yanqing, Chen Zheng, Dong Jichen, Li Xiongying

机构信息

School of Materials Science and Engineering, China University of Mining and Technology, Xuzhou, 221116, People's Republic of China.

Key Laboratory for Liquid-Solid Structural Evolution and Processing of Materials, Ministry of Education, Shandong University, Jinan 250061, People's Republic of China.

出版信息

Sci Rep. 2015 Oct 5;5:14792. doi: 10.1038/srep14792.

Abstract

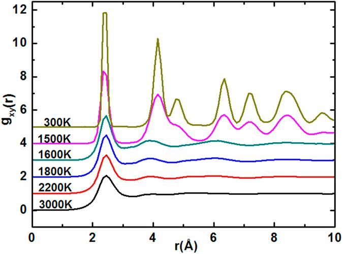
The solidification of two-dimensional liquid silicon confined to a slit nanopore has been studied using molecular dynamics simulations. The results clearly show that the system undergoes an obvious transition from liquid to multilayer hexagonal film with the decrease of temperature, accompanied by dramatic change in potential energy, atomic volume, coordination number and lateral radial distribution function. During the cooling process, some hexagonal islands randomly appear in the liquid first, then grow up to grain nuclei, and finally connect together to form a complete polycrystalline film. Moreover, it is found that the quenching rate and slit size are of vital importance to the freezing structure of silicon film. The results also indicate that the slit nanopore induces the layering of liquid silicon, which further induces the slit size dependent solidification behavior of silicon film with different electrical properties.

摘要

利用分子动力学模拟研究了限制在狭缝纳米孔中的二维液态硅的凝固过程。结果清楚地表明,随着温度降低,系统经历了从液态到多层六角形薄膜的明显转变,同时势能、原子体积、配位数和横向径向分布函数发生了显著变化。在冷却过程中,一些六角形岛首先随机出现在液体中,然后长大成晶核,最终连接在一起形成完整的多晶薄膜。此外,发现淬火速率和狭缝尺寸对硅膜的冻结结构至关重要。结果还表明,狭缝纳米孔诱导了液态硅的分层,进而诱导了具有不同电学性质的硅膜的狭缝尺寸依赖性凝固行为。

https://cdn.ncbi.nlm.nih.gov/pmc/blobs/c365/4593175/5b750337fa83/srep14792-f1.jpg

文献检索

告别复杂PubMed语法,用中文像聊天一样搜索,搜遍4000万医学文献。AI智能推荐,让科研检索更轻松。

立即免费搜索

文件翻译

保留排版,准确专业,支持PDF/Word/PPT等文件格式,支持 12+语言互译。

免费翻译文档

深度研究

AI帮你快速写综述,25分钟生成高质量综述,智能提取关键信息,辅助科研写作。

立即免费体验