Suppr超能文献

2至17岁儿童单剂量口服愈创甘油醚后的药代动力学

Guaifenesin Pharmacokinetics Following Single-Dose Oral Administration in Children Aged 2 to 17 Years.

作者信息

Thompson Gary A, Solomon Gail, Albrecht Helmut H, Reitberg Donald P, Guenin Eric

机构信息

GA Thompson Consulting, LLC, West Chester, OH, USA.

Reckitt Benckiser, LLC, Parsippany, NJ, USA.

出版信息

J Clin Pharmacol. 2016 Jul;56(7):894-901. doi: 10.1002/jcph.682. Epub 2016 Jan 24.

Abstract

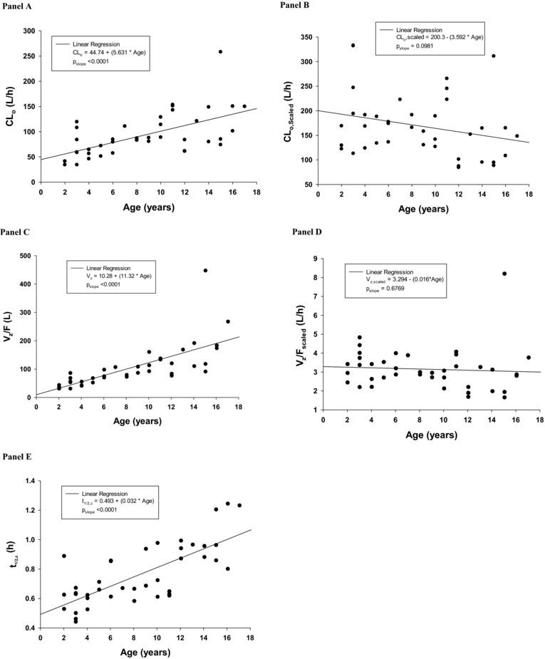
This study characterized guaifenesin pharmacokinetics in children aged 2 to 17 years (n = 40) who received a single oral dose of guaifenesin (age-based doses of 100-400 mg) 2 hours after breakfast. Plasma samples were obtained before and for 8 hours after dosing and analyzed for guaifenesin using liquid chromatography-tandem mass spectrometry. Pharmacokinetic parameters were estimated using noncompartmental methods, relationships with age were assessed using linear regression, and dose proportionality was assessed on 95% confidence intervals. Based on the upper dose recommended in the monograph (for both children and adolescents), area under the curve from time zero to infinity and maximum plasma concentration both increased with age. However, when comparing the upper dose for children aged 2 to 11 years with the lower dose for adolescents aged 12 to 17 years, similar systemic exposure was observed. As expected due to increasing body size, oral clearance (CLo ) and terminal volume of distribution (Vz /F) increased with age. Due to a larger increase in Vz /F than CLo , an increase in terminal exponential half-life was also observed. Allometric scaling indicated no maturation-related changes in CLo and Vz /F.

摘要

本研究对2至17岁儿童(n = 40)的愈创甘油醚药代动力学进行了表征,这些儿童在早餐后2小时接受了单次口服愈创甘油醚(基于年龄的剂量为100 - 400 mg)。在给药前和给药后8小时采集血浆样本,并使用液相色谱 - 串联质谱法分析愈创甘油醚。使用非房室方法估算药代动力学参数,使用线性回归评估与年龄的关系,并在95%置信区间评估剂量比例。根据专著中推荐的较高剂量(适用于儿童和青少年),从零时间到无穷大的曲线下面积和最大血浆浓度均随年龄增加。然而,当比较2至11岁儿童的较高剂量与12至17岁青少年的较低剂量时,观察到相似的全身暴露。正如预期的那样,由于体型增大,口服清除率(CLo)和终末分布容积(Vz / F)随年龄增加。由于Vz / F的增加幅度大于CLo,还观察到终末指数半衰期增加。异速生长标度表明CLo和Vz / F没有与成熟相关的变化。

https://cdn.ncbi.nlm.nih.gov/pmc/blobs/a40f/5066754/94db3067b799/JCPH-56-894-g001.jpg

文献AI研究员

20分钟写一篇综述,助力文献阅读效率提升50倍。

立即体验

用中文搜PubMed

大模型驱动的PubMed中文搜索引擎

马上搜索

文档翻译

学术文献翻译模型,支持多种主流文档格式。

立即体验