Suppr超能文献

杏仁核基底外侧核γ-氨基丁酸A(GABA(A))受体在ACPA诱导的抗焦虑样效应和厌恶记忆缺陷中的作用。

The effect of BLA GABA(A) receptors in anxiolytic-like effect and aversive memory deficit induced by ACPA.

作者信息

Kangarlu-Haghighi Katayoon, Oryan Shahrbanoo, Nasehi Mohammad, Zarrindast Mohammad-Reza

机构信息

Department of Biology, Science and Research Branch, Islamic Azad University, Tehran, Iran.

Cognitive and Neuroscience Research Center (CNRC), Medical Genomics Research Center and School of Advanced Sciences in Medicine, Islamic Azad University, Tehran Medical Sciences Branch, Tehran, Iran.

出版信息

EXCLI J. 2015 May 11;14:613-26. doi: 10.17179/excli2015-201. eCollection 2015.

Abstract

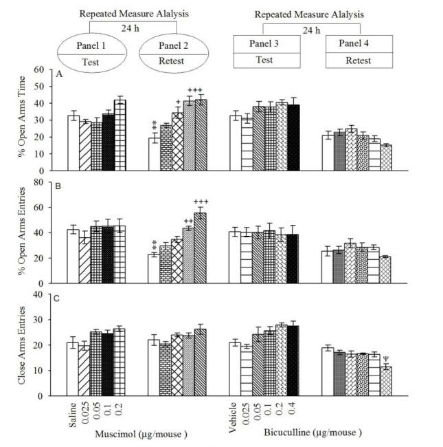
The roles of GABAergic receptors of the Basolateral amygdala (BLA) in the cannabinoid CB1 receptor agonist (arachydonilcyclopropylamide; ACPA)-induced anxiolytic-like effect and aversive memory deficit in adult male mice were examined in elevated plus-maze task. Results showed that pre-test intra-peritoneal injection of ACPA induced anxiolytic-like effect (at dose of 0.05 mg/kg) and aversive memory deficit (at doses of 0.025 and 0.05 mg/kg). The results revealed that Pre-test intra-BLA infusion of muscimol (GABAA receptor agonist; at doses of 0.1 and 0.2 µg/mouse) or bicuculline (GABAA receptor antagonist; at all doses) impaired and did not alter aversive memory, respectively. All previous GABA agents did not have any effects on anxiety-like behaviors. Interestingly, pretreatment with a sub-threshold dose of muscimol (0.025 µg/mouse) and bicuculline (0.025 µg/mouse) did not alter anxiolytic-like behaviors induced by ACPA, while both drugs restored ACPA-induced amnesia. Moreover, muscimol or bicuculline increased and decreased ACPA-induced locomotor activity, respectively. Finally the data may indicate that BLA GABAA receptors have critical and different roles in anxiolytic-like effect, aversive memory deficit and locomotor activity induced by ACPA.

摘要

在高架十字迷宫实验中,研究了基底外侧杏仁核(BLA)的γ-氨基丁酸(GABA)能受体在大麻素CB1受体激动剂(花生四烯酸环丙酰胺;ACPA)诱导成年雄性小鼠产生抗焦虑样效应和厌恶记忆缺陷中的作用。结果显示,预测试腹腔注射ACPA可诱导抗焦虑样效应(剂量为0.05 mg/kg)和厌恶记忆缺陷(剂量为0.025和0.05 mg/kg)。结果表明,预测试向BLA内注射蝇蕈醇(GABAA受体激动剂;剂量为0.1和0.2 µg/只小鼠)或荷包牡丹碱(GABAA受体拮抗剂;所有剂量)分别损害和未改变厌恶记忆。所有先前的GABA制剂对焦虑样行为均无任何影响。有趣的是,用阈下剂量的蝇蕈醇(0.025 µg/只小鼠)和荷包牡丹碱(0.025 µg/只小鼠)预处理并未改变ACPA诱导的抗焦虑样行为,而两种药物均恢复了ACPA诱导的失忆。此外,蝇蕈醇或荷包牡丹碱分别增加和降低了ACPA诱导的运动活性。最后,数据可能表明BLA的GABAA受体在ACPA诱导的抗焦虑样效应、厌恶记忆缺陷和运动活性中具有关键且不同的作用。

https://cdn.ncbi.nlm.nih.gov/pmc/blobs/0855/4669909/63e2435606dd/EXCLI-14-613-t-001.jpg

文献AI研究员

20分钟写一篇综述,助力文献阅读效率提升50倍。

立即体验

用中文搜PubMed

大模型驱动的PubMed中文搜索引擎

马上搜索

文档翻译

学术文献翻译模型,支持多种主流文档格式。

立即体验