Suppr超能文献

不同类型液体复苏对失血性休克患者内脏器官微循环及肾脏活性氧生成的影响

Effects of different types of fluid resuscitation for hemorrhagic shock on splanchnic organ microcirculation and renal reactive oxygen species formation.

作者信息

Wu Chun-Yu, Chan Kuang-Cheng, Cheng Ya-Jung, Yeh Yu-Chang, Chien Chiang-Ting

机构信息

Department of Anesthesiology, National Taiwan University Hospital, No 7, Chung-Shan S. Road, Taipei, Taiwan, R.O.C.

Department of Life Science, National Taiwan Normal University, No. 88, Tingzhou Road, Taipei City, Taiwan, 11677, R.O.C.

出版信息

Crit Care. 2015 Dec 11;19:434. doi: 10.1186/s13054-015-1135-y.

Abstract

INTRODUCTION

Fluid resuscitation is an indispensable procedure in the acute management of hemorrhagic shock for restoring tissue perfusion, particularly microcirculation in splanchnic organs. Resuscitation fluids include crystalloids, hypertonic saline (HTS), and synthetic colloids, and their selection affects the recovery of microcirculatory blood flow and reactive oxygen species (ROS) formation, which is often evident in the kidney, following reperfusion. In this study, the effects of acute resuscitation with 0.9% saline (NS), 3% HTS, 4% succinylated gelatin (GEL), and 6% hydroxyethyl starch (HES) 130/0.4 were compared in a hemorrhagic shock rat model to analyze restoration of microcirculation among various splanchnic organs and the gracilis muscle and reperfusion-induced renal ROS formation.

METHODS

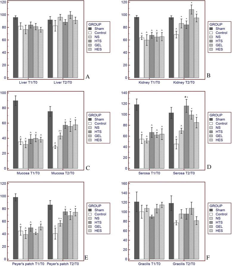
A total of 96 male Wistar rats were subjected to sham operation (sham group), hemorrhagic shock (control group), and resuscitation with NS, HTS, GEL and HES. Two hours after resuscitation, changes in the mean arterial pressure (MAP), serum lactate level and the microcirculatory blood flow among various splanchnic organs, namely the liver, kidney, and intestine (mucosa, serosal muscular layer, and Peyer's patch), and the gracilis muscle, were compared using laser speckle contrast imaging. Renal ROS formation after reperfusion was investigated using an enhanced in vivo chemiluminescence (CL) method.

RESULTS

Microcirculatory blood flow was less severely affected by hemorrhaging in the liver and gracilis muscle. Impairment of microcirculation in the kidney was restored in all resuscitation groups. Resuscitation in the NS group failed to restore intestinal microcirculation. Resuscitation in the HTS, GEL, and HES groups restored intestinal microcirculatory blood flow. By comparison, fluid resuscitation restored hemorrhagic shock-induced hypotension and decreased lactatemia in all resuscitation groups. Reperfusion-induced in vivo renal ROS formation was significantly higher in the GEL and HES groups than in the other groups.

CONCLUSION

Although fluid resuscitation with NS restored the MAP and decreased lactatemia following hemorrhagic shock, intestinal microcirculation was restored only by other volume expanders, namely 3% HTS, GEL, and HES. However, reperfusion-induced renal ROS formation was significantly higher when synthetic colloids were used.

摘要

引言

液体复苏是失血性休克急性处理中恢复组织灌注,尤其是内脏器官微循环灌注不可或缺的步骤。复苏液体包括晶体液、高渗盐水(HTS)和合成胶体液,它们的选择会影响再灌注后微循环血流的恢复以及活性氧(ROS)的形成,这在肾脏中往往很明显。在本研究中,在失血性休克大鼠模型中比较了用0.9%生理盐水(NS)、3% HTS、4%琥珀酰明胶(GEL)和6%羟乙基淀粉(HES)130/0.4进行急性复苏的效果,以分析各内脏器官和股薄肌微循环的恢复情况以及再灌注诱导的肾脏ROS形成。

方法

总共96只雄性Wistar大鼠接受假手术(假手术组)、失血性休克(对照组)以及用NS、HTS、GEL和HES进行复苏。复苏后两小时,使用激光散斑对比成像比较平均动脉压(MAP)、血清乳酸水平以及各内脏器官(即肝脏、肾脏和肠道(黏膜、浆膜肌层和派伊尔结))和股薄肌的微循环血流变化。使用增强的体内化学发光(CL)方法研究再灌注后肾脏ROS的形成。

结果

肝脏和股薄肌的微循环血流受出血影响较轻。所有复苏组肾脏的微循环损伤均得到恢复。NS组的复苏未能恢复肠道微循环。HTS、GEL和HES组的复苏恢复了肠道微循环血流。相比之下,液体复苏恢复了失血性休克引起的低血压,并降低了所有复苏组的乳酸血症。GEL组和HES组再灌注诱导的体内肾脏ROS形成显著高于其他组。

结论

尽管用NS进行液体复苏可恢复失血性休克后的MAP并降低乳酸血症,但只有其他扩容剂,即3% HTS、GEL和HES才能恢复肠道微循环。然而,使用合成胶体液时,再灌注诱导的肾脏ROS形成显著更高。

https://cdn.ncbi.nlm.nih.gov/pmc/blobs/a68f/4699328/72d8532b169f/13054_2015_1135_Fig1_HTML.jpg

文献AI研究员

20分钟写一篇综述,助力文献阅读效率提升50倍。

立即体验

用中文搜PubMed

大模型驱动的PubMed中文搜索引擎

马上搜索

文档翻译

学术文献翻译模型,支持多种主流文档格式。

立即体验