Suppr超能文献

以两种为绿盲蝽属昆虫开发的饲料饲养的稻绿蝽(半翅目:蝽科)的种群统计学参数

Demographic Parameters of Nezara viridula (Heteroptera: Pentatomidae) Reared on Two Diets Developed for Lygus spp.

作者信息

Portilla M, Snodgrass G, Streett D, Luttrell R

机构信息

USDA-ARS Southern Insect Management Research Unit, 141 Experiment Station Rd., P.O. Box 346, Stoneville, MS 38776

USDA-ARS Southern Insect Management Research Unit, 141 Experiment Station Rd., P.O. Box 346, Stoneville, MS 38776.

出版信息

J Insect Sci. 2015 Dec 18;15(1). doi: 10.1093/jisesa/iev144. Print 2015.

Abstract

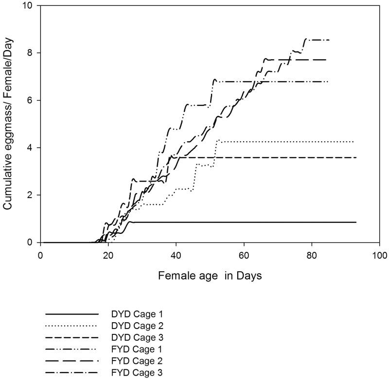
Two artificial diets developed for rearing Lygus spp., a fresh yolk chicken egg based-diet (FYD) and a dry yolk chicken egg based-diet (DYD), were evaluated as an alternative food source for rearing the southern green stink bug, Nezara viridula (L.) (Heteroptera: Pentatomidae). Survival to adult was 97.3 and 74.67%, respectively, on the fresh and dry yolk diets. Insects fed FYD had 100% survival of nymphs from first through fourth instars. Adult development was significantly shorter on FYD (30.37 ± SE 0.30 d) as compared with DYD (32.77 ± SE 0.16 d). Increased male and female longevity, higher fecundity, and larger egg mass sizes were also observed with N. viridula-fed FYD. However, fertility and hatchability was higher on DYD. A complete cohort life table was constructed to describe the development of N. viridula on both diets.

摘要

为饲养牧草盲蝽属昆虫开发了两种人工饲料,即以新鲜蛋黄为基础的饲料(FYD)和以干蛋黄为基础的饲料(DYD),作为饲养南方绿蝽(Nezara viridula (L.),半翅目:蝽科)的替代食物来源进行了评估。在新鲜和干蛋黄饲料上,成虫的存活率分别为97.3%和74.67%。取食FYD的昆虫从一龄到四龄若虫的存活率为100%。与DYD(32.77±标准误0.16天)相比,FYD上成虫发育显著缩短(30.37±标准误0.30天)。取食FYD的南方绿蝽还表现出雌雄寿命延长、繁殖力提高和卵块尺寸增大。然而,DYD上的受精率和孵化率更高。构建了完整的种群生命表来描述南方绿蝽在两种饲料上的发育情况。

https://cdn.ncbi.nlm.nih.gov/pmc/blobs/b38e/4684188/975b2191f153/iev144f1p.jpg

文献AI研究员

20分钟写一篇综述,助力文献阅读效率提升50倍。

立即体验

用中文搜PubMed

大模型驱动的PubMed中文搜索引擎

马上搜索

文档翻译

学术文献翻译模型,支持多种主流文档格式。

立即体验