Suppr超能文献

一种用于无线体域网的按需紧急数据包传输方案。

An On-Demand Emergency Packet Transmission Scheme for Wireless Body Area Networks.

作者信息

Al Ameen Moshaddique, Hong Choong Seon

机构信息

Department of Computer Science and Engineering, College of Electronics & Information, Kyung Hee University, Yongin-si, Gyeongggi-do 17104, Korea.

出版信息

Sensors (Basel). 2015 Dec 4;15(12):30584-616. doi: 10.3390/s151229819.

Abstract

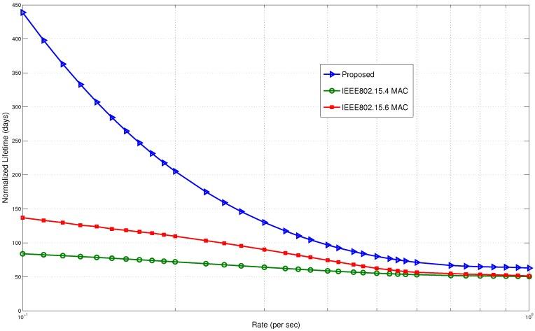
The rapid developments of sensor devices that can actively monitor human activities have given rise to a new field called wireless body area network (BAN). A BAN can manage devices in, on and around the human body. Major requirements of such a network are energy efficiency, long lifetime, low delay, security, etc. Traffic in a BAN can be scheduled (normal) or event-driven (emergency). Traditional media access control (MAC) protocols use duty cycling to improve performance. A sleep-wake up cycle is employed to save energy. However, this mechanism lacks features to handle emergency traffic in a prompt and immediate manner. To deliver an emergency packet, a node has to wait until the receiver is awake. It also suffers from overheads, such as idle listening, overhearing and control packet handshakes. An external radio-triggered wake up mechanism is proposed to handle prompt communication. It can reduce the overheads and improve the performance through an on-demand scheme. In this work, we present a simple-to-implement on-demand packet transmission scheme by taking into considerations the requirements of a BAN. The major concern is handling the event-based emergency traffic. The performance analysis of the proposed scheme is presented. The results showed significant improvements in the overall performance of a BAN compared to state-of-the-art protocols in terms of energy consumption, delay and lifetime.

摘要

能够主动监测人类活动的传感器设备的迅速发展催生了一个名为无线体域网(BAN)的新领域。一个无线体域网可以管理人体内部、体表及周围的设备。这种网络的主要要求包括能源效率、长寿命、低延迟、安全性等。无线体域网中的流量可以是调度型(正常情况)或事件驱动型(紧急情况)。传统的媒体访问控制(MAC)协议使用占空比来提高性能。采用睡眠-唤醒周期来节省能源。然而,这种机制缺乏及时处理紧急流量的功能。为了发送紧急数据包,一个节点必须等到接收方醒来。它还存在诸如空闲监听、偷听和控制数据包握手等开销。提出了一种外部无线电触发唤醒机制来处理即时通信。它可以通过按需方案减少开销并提高性能。在这项工作中,我们考虑到无线体域网的要求,提出了一种易于实现的按需数据包传输方案。主要关注点是处理基于事件的紧急流量。给出了所提方案的性能分析。结果表明,与现有协议相比,该方案在能耗、延迟和寿命方面显著提高了无线体域网的整体性能。

https://cdn.ncbi.nlm.nih.gov/pmc/blobs/d738/4721739/fdbbf9c23fd0/sensors-15-29819-g001.jpg

文献AI研究员

20分钟写一篇综述,助力文献阅读效率提升50倍。

立即体验

用中文搜PubMed

大模型驱动的PubMed中文搜索引擎

马上搜索

文档翻译

学术文献翻译模型,支持多种主流文档格式。

立即体验