Yang Jiachen, Lin Yancong, Gao Zhiqun, Lv Zhihan, Wei Wei, Song Houbing
School of Electronic Information Engineering, Tianjin University, 92 Weijin Road, Tianjin, 300072 China.
Shenzhen Institute of Advanced Technology, Chinese Academy of Sciences, 1068 Xueyuan Avenue, Shenzhen University Town, Shenzhen, 518055 China.
PLoS One. 2015 Dec 30;10(12):e0145800. doi: 10.1371/journal.pone.0145800. eCollection 2015.
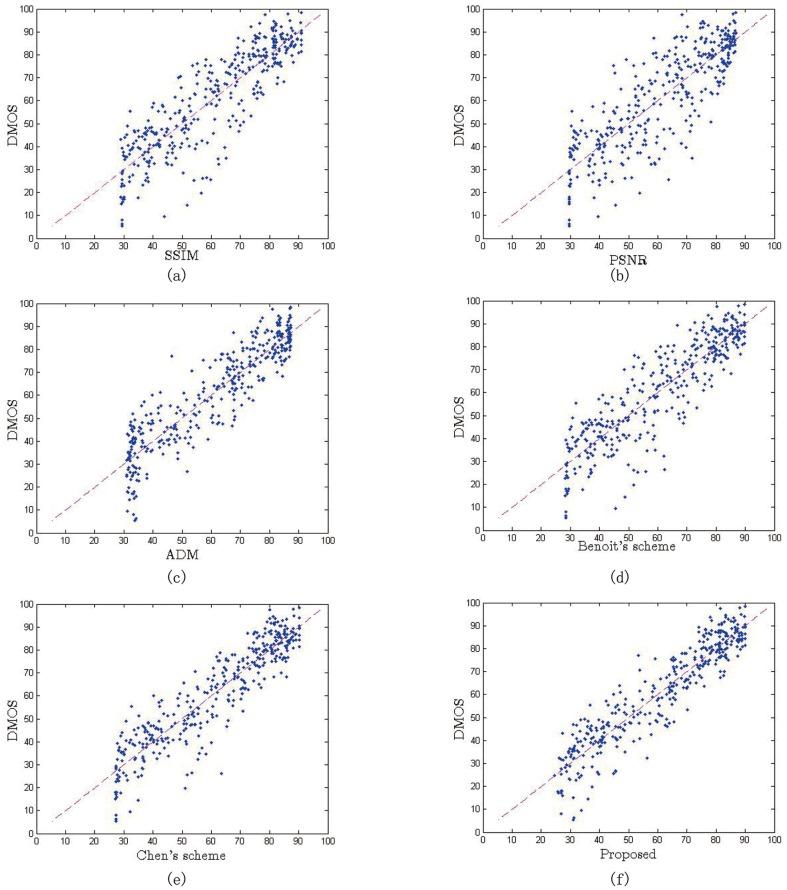
The human visual system (HVS) plays an important role in stereo image quality perception. Therefore, it has aroused many people's interest in how to take advantage of the knowledge of the visual perception in image quality assessment models. This paper proposes a full-reference metric for quality assessment of stereoscopic images based on the binocular difference channel and binocular summation channel. For a stereo pair, the binocular summation map and binocular difference map are computed first by adding and subtracting the left image and right image. Then the binocular summation is decoupled into two parts, namely additive impairments and detail losses. The quality of binocular summation is obtained as the adaptive combination of the quality of detail losses and additive impairments. The quality of binocular summation is computed by using the Contrast Sensitivity Function (CSF) and weighted multi-scale (MS-SSIM). Finally, the quality of binocular summation and binocular difference is integrated into an overall quality index. The experimental results indicate that compared with existing metrics, the proposed metric is highly consistent with the subjective quality assessment and is a robust measure. The result have also indirectly proved hypothesis of the existence of binocular summation and binocular difference channels.
人类视觉系统(HVS)在立体图像质量感知中起着重要作用。因此,如何在图像质量评估模型中利用视觉感知知识引起了许多人的兴趣。本文提出了一种基于双目差异通道和双目求和通道的立体图像质量评估全参考度量。对于一对立体图像,首先通过对左图像和右图像进行相加和相减来计算双目求和图和双目差异图。然后将双目求和解耦为两部分,即相加损伤和细节损失。双目求和的质量通过细节损失质量和相加损伤的自适应组合来获得。双目求和的质量通过使用对比度敏感函数(CSF)和加权多尺度(MS - SSIM)来计算。最后,将双目求和和双目差异的质量整合为一个整体质量指标。实验结果表明,与现有度量相比,所提出的度量与主观质量评估高度一致,是一种稳健的度量。结果也间接证明了双目求和和双目差异通道存在的假设。