Adema Aaltje Y, van Ittersum Frans J, Hoenderop Joost G, de Borst Martin H, Nanayakkara Prabath W, Ter Wee Piet M, Heijboer Annemieke C, Vervloet Marc G
Department of Nephrology, VU University Medical Center, Amsterdam, The Netherlands.
Department of Physiology, Radboud university medical center Nijmegen, The Netherlands.
PLoS One. 2016 Jan 25;11(1):e0144121. doi: 10.1371/journal.pone.0144121. eCollection 2016.
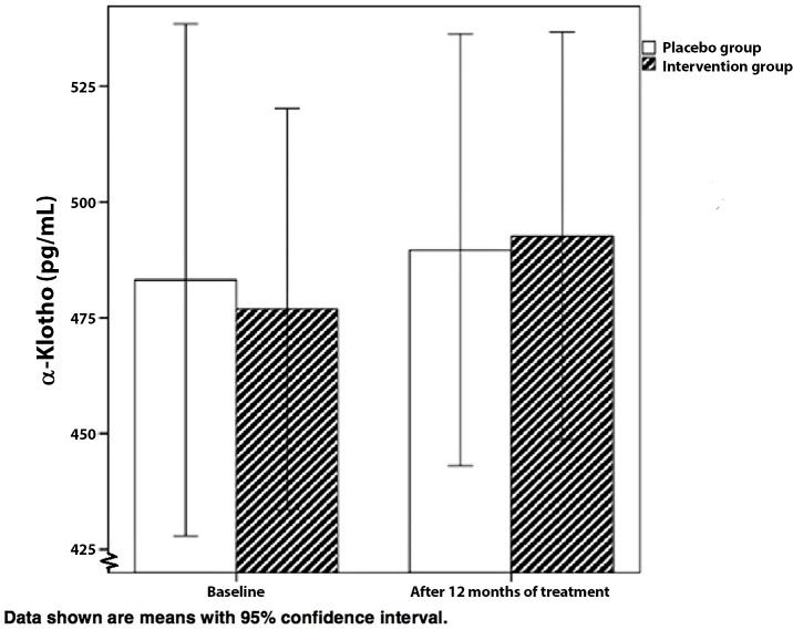
The CKD-associated decline in soluble α-Klotho levels is considered detrimental. Some in vitro and in vivo animal studies have shown that anti-oxidant therapy can upregulate the expression of α-Klotho in the kidney. We examined the effect of anti-oxidant therapy on α-Klotho concentrations in a clinical cohort with mild tot moderate chronic kidney disease (CKD). We performed a post-hoc analysis of a prospective randomized trial involving 62 patients with mild to moderate CKD (the ATIC study), all using an angiotensin-converting enzyme inhibitor (ACEi) or angiotensin receptor blocker (ARB) for 12 months. On top of that, the intervention group received anti-oxidative therapy consisting of the combination of pravastatin (40 mg/d) and vitamin E (α-tocopherol acetate, 300 mg/d) while the placebo was not treated with anti-oxidants. α-Klotho concentrations were measured at baseline and after 12 months of anti-oxidant therapy. Data were analysed using T-tests and Generalized Estimating Equations, adjusting for potential confounders such as vitamin D, parathyroid hormone, fibroblast-growth-factor 23 (FGF23) and eGFR. The cohort existed of 62 patients with an eGFR (MDRD) of 35 ± 14 ml/min/1.72 m2, 34 were male and mean age was 53.0 ± 12.5 years old. Anti-oxidative therapy did successfully reduce oxLDL and LDL concentrations (P <0.001). α-Klotho concentrations did not change in patients receiving either anti-oxidative therapy (476.9 ± 124.3 to 492.7 ± 126.3 pg/mL, P = 0.23) nor in those receiving placebo 483.2 ± 142.5 to 489.6 ± 120.3 pg/mL, P = 0.62). Changes in α-Klotho concentrations were not different between both groups (p = 0.62). No evidence was found that anti-oxidative therapy affected α-Klotho concentrations in patients with mild-moderate CKD.
慢性肾脏病(CKD)相关的可溶性α-klotho水平下降被认为是有害的。一些体外和体内动物研究表明,抗氧化治疗可以上调肾脏中α-klotho的表达。我们在一个轻度至中度慢性肾脏病(CKD)的临床队列中研究了抗氧化治疗对α-klotho浓度的影响。我们对一项涉及62例轻度至中度CKD患者的前瞻性随机试验进行了事后分析(ATIC研究),所有患者均使用血管紧张素转换酶抑制剂(ACEi)或血管紧张素受体阻滞剂(ARB)治疗12个月。除此之外,干预组接受由普伐他汀(40mg/d)和维生素E(α-生育酚醋酸酯,300mg/d)联合组成的抗氧化治疗,而安慰剂组未接受抗氧化剂治疗。在基线和抗氧化治疗12个月后测量α-klotho浓度。使用T检验和广义估计方程分析数据,并对潜在混杂因素进行调整,如维生素D、甲状旁腺激素、成纤维细胞生长因子23(FGF23)和估算肾小球滤过率(eGFR)。该队列由62例患者组成,其eGFR(MDRD)为35±14ml/min/1.72m²,男性34例,平均年龄为53.0±12.5岁。抗氧化治疗成功降低了氧化型低密度脂蛋白(oxLDL)和低密度脂蛋白(LDL)浓度(P<0.001)。接受抗氧化治疗的患者α-klotho浓度没有变化(从476.9±124.3pg/mL至492.7±126.3pg/mL,P=0.23),接受安慰剂治疗的患者也没有变化(从483.2±142.5pg/mL至489.6±120.3pg/mL,P=0.62)。两组之间α-klotho浓度的变化没有差异(P=0.62)。没有发现证据表明抗氧化治疗会影响轻度至中度CKD患者的α-klotho浓度。