Pavlovic Igor, Thakor Divyeshsinh T, Vargas Jessica R, McKinlay Colin J, Hauke Sebastian, Anstaett Philipp, Camuña Rafael C, Bigler Laurent, Gasser Gilles, Schultz Carsten, Wender Paul A, Jessen Henning J
Department of Chemistry, University of Zurich, Winterthurerstrasse 190, Zurich 8057, Switzerland.
Departments of Chemistry and Chemical and Systems Biology, Stanford University, Stanford, California 94305, USA.
Nat Commun. 2016 Feb 4;7:10622. doi: 10.1038/ncomms10622.
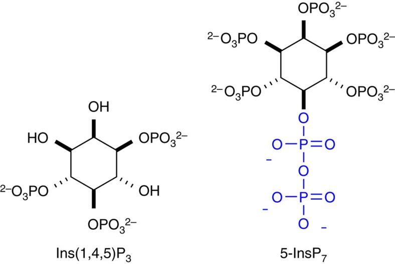
Inositol pyrophosphates, such as diphospho-myo-inositol pentakisphosphates (InsP7), are an important family of signalling molecules, implicated in many cellular processes and therapeutic indications including insulin secretion, glucose homeostasis and weight gain. To understand their cellular functions, chemical tools such as photocaged analogues for their real-time modulation in cells are required. Here we describe a concise, modular synthesis of InsP7 and caged InsP7. The caged molecule is stable and releases InsP7 only on irradiation. While photocaged InsP7 does not enter cells, its cellular uptake is achieved using nanoparticles formed by association with a guanidinium-rich molecular transporter. This novel synthesis and unprecedented polyphosphate delivery strategy enable the first studies required to understand InsP7 signalling in cells with controlled spatiotemporal resolution. It is shown herein that cytoplasmic photouncaging of InsP7 leads to translocation of the PH-domain of Akt, an important signalling-node kinase involved in glucose homeostasis, from the membrane into the cytoplasm.
肌醇焦磷酸,如二磷酸 - 肌醇五磷酸(InsP7),是一类重要的信号分子家族,涉及许多细胞过程和治疗适应症,包括胰岛素分泌、葡萄糖稳态和体重增加。为了了解它们的细胞功能,需要化学工具,如用于在细胞中实时调节的光笼式类似物。在这里,我们描述了一种简洁、模块化的InsP7和笼式InsP7的合成方法。笼式分子是稳定的,仅在光照下释放InsP7。虽然光笼式InsP7不进入细胞,但通过与富含胍的分子转运体结合形成的纳米颗粒可实现其细胞摄取。这种新颖的合成方法和前所未有的多磷酸盐递送策略使得能够首次以可控的时空分辨率对细胞中InsP7信号传导进行研究。本文表明,InsP7在细胞质中的光脱笼导致Akt的PH结构域从膜转移到细胞质中,Akt是参与葡萄糖稳态的重要信号节点激酶。