Suppr超能文献

一系列齐墩果酸衍生物作为抗乙型肝炎病毒药物:设计、合成及体外和体内生物学评价

A Series of Oleanolic Acid Derivatives as Anti-Hepatitis B Virus Agents: Design, Synthesis, and in Vitro and in Vivo Biological Evaluation.

作者信息

Yan Wenqiang, Zhang Chenze, Li Bi, Xu Xin, Liang Miao, Gu Shun, Chu Fuhao, Xu Bing, Ren Jian, Wang Penglong, Lei Haimin

机构信息

School of Chinese Pharmacy, Beijing University of Chinese Medicine, Beijing 100102, China.

Department of Pharmacology, Xuanwu Hospital of Capital Medical University, Key Laboratory for Neurodegenerative Diseases of Ministry of Education, Beijing 100053, China.

出版信息

Molecules. 2016 Mar 24;21(4):402. doi: 10.3390/molecules21040402.

Abstract

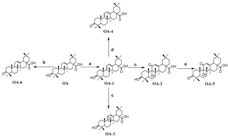
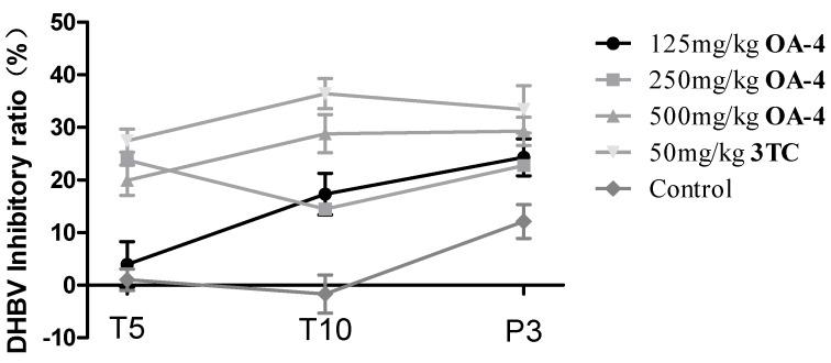
A series of oleanolic acid derivatives were synthesized by diverse reactions, including the introduction of conjugated alkadiene and epoxy ring moieties formed by means of photosensitized oxidation. Eosin Y was used as photosensitizer during this process. Next the cytotoxicity of the products was evaluated on HepG2.2.15 cells to determine the appropriate treatment concentration for the subsequent experiments. Most of the OA derivatives exhibited anti-HBV antigens secretion activity in HepG2.2.15 cells. Among the tested compounds, OA-4 (3.13 µg/mL) showed significant activity against the secretion of HBsAg, HBeAg, and HBV DNA replication with inhibitory ratios of 90.52% ± 1.78%, 31.55% ± 3.65%, and 94.57% ± 3.11% after 6 days, respectively. Besides, OA-4 was further investigated in a duck model with DHBV infection. When OA-4 was administered at a dosage of 500 mg/kg, the results revealed a significant inhibitory effects of DHBV at 19.94% ± 2.87%, 28.80% ± 3.62% and 29.25% ± 2.65% at days 5, 10, and 3 after the cessation of OA-4 treatment, respectively. It's worth noting that OA-4 is superior to lamivudine in the inhibition of rebound of viral replication rate. The structure-activity relationships of OA derivatives had been preliminary discussed, which should be useful to explore further novel anti-HBV agents.

摘要

通过多种反应合成了一系列齐墩果酸衍生物,包括引入共轭二烯和通过光敏氧化形成的环氧环部分。在此过程中使用曙红Y作为光敏剂。接下来,在HepG2.2.15细胞上评估产物的细胞毒性,以确定后续实验的合适处理浓度。大多数齐墩果酸衍生物在HepG2.2.15细胞中表现出抗乙肝病毒抗原分泌活性。在所测试的化合物中,OA-4(3.13μg/mL)对乙肝表面抗原、乙肝e抗原的分泌以及乙肝病毒DNA复制具有显著活性,6天后的抑制率分别为90.52%±1.78%、31.55%±3.65%和94.57%±3.11%。此外,在鸭乙肝病毒感染模型中对OA-4进行了进一步研究。当以500mg/kg的剂量给予OA-4时,结果显示在停止OA-4治疗后的第5天、第10天和第3天,鸭乙肝病毒的抑制率分别为19.94%±2.87%、28.80%±3.62%和29.25%±2.65%。值得注意的是,在抑制病毒复制率反弹方面,OA-4优于拉米夫定。初步讨论了齐墩果酸衍生物的构效关系,这对于进一步探索新型抗乙肝病毒药物应该是有用的。

https://cdn.ncbi.nlm.nih.gov/pmc/blobs/a533/6273212/f0ffcf8cffad/molecules-21-00402-g001.jpg

文献AI研究员

20分钟写一篇综述,助力文献阅读效率提升50倍。

立即体验

用中文搜PubMed

大模型驱动的PubMed中文搜索引擎

马上搜索

文档翻译

学术文献翻译模型,支持多种主流文档格式。

立即体验