Suppr超能文献

高盐饮食影响肾脏钠排泄及雌激素相关受体α(ERRα)表达。

High Salt Diet Affects Renal Sodium Excretion and ERRα Expression.

作者信息

Wang Dan, Wang Yang, Liu Fu-Qiang, Yuan Zu-Yi, Mu Jian-Jun

机构信息

Department of Cardiovascular Medicine, First Affiliated Hospital of Medical College of Xi'an Jiaotong University, Key Laboratory of Molecular Cardiology, No. 277 Yanta West Road, Xi'an 710061, China.

出版信息

Int J Mol Sci. 2016 Apr 1;17(4):480. doi: 10.3390/ijms17040480.

Abstract

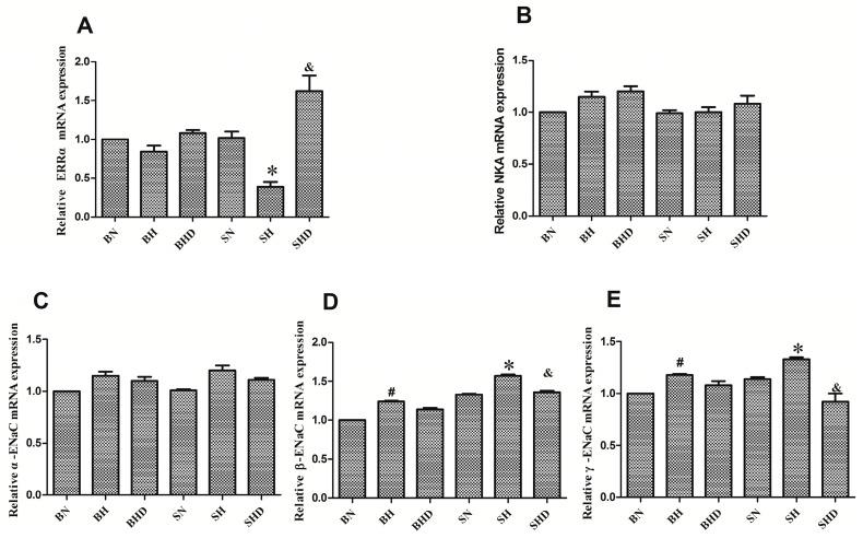
Kidneys regulate the balance of water and sodium and therefore are related to blood pressure. It is unclear whether estrogen-related receptor α (ERRα), an orphan nuclear receptor and transcription factor highly expressed in kidneys, affects the reabsorption of water and sodium. The aim of this study was to determine whether changes in the expressions of ERRα, Na⁺/K⁺-ATPase and epithelial sodium channel (ENaC) proteins affected the reabsorption of water and sodium in kidneys of Dahl salt-sensitive (DS) rats. SS.13BN rats, 98% homologous to the DS rats, were used as a normotensive control group. The 24 h urinary sodium excretion of the DS and SS.13BN rats increased after the 6-week high salt diet intervention, while sodium excretion was increased in DS rats with daidzein (agonist of ERRα) treatment. ERRα expression was decreased, while β- and γ-ENaC mRNA expressions were increased upon high sodium diet treatment in the DS rats. In the chromatin immunoprecipitation (CHIP) assay, positive PCR signals were obtained in samples treated with anti-ERRα antibody. The transcriptional activity of ERRα was decreased upon high salt diet intervention. ERRα reduced the expressions of β- and γ-ENaC by binding to the ENaC promoter, thereby increased Na+ reabsorption. Therefore, ERRα might be one of the factors causing salt-sensitive hypertension.

摘要

肾脏调节水和钠的平衡,因此与血压相关。目前尚不清楚雌激素相关受体α(ERRα),一种在肾脏中高度表达的孤儿核受体和转录因子,是否会影响水和钠的重吸收。本研究的目的是确定ERRα、Na⁺/K⁺-ATP酶和上皮钠通道(ENaC)蛋白表达的变化是否会影响 Dahl 盐敏感(DS)大鼠肾脏中水和钠的重吸收。与 DS 大鼠有 98%同源性的 SS.13BN 大鼠用作正常血压对照组。经过 6 周高盐饮食干预后,DS 和 SS.13BN 大鼠的 24 小时尿钠排泄量增加,而用大豆苷元(ERRα激动剂)治疗的 DS 大鼠钠排泄量增加。在 DS 大鼠中,高钠饮食处理后 ERRα表达降低,而β-和γ-ENaC mRNA 表达增加。在染色质免疫沉淀(CHIP)试验中,用抗 ERRα抗体处理的样品获得了阳性 PCR 信号。高盐饮食干预后 ERRα的转录活性降低。ERRα通过与 ENaC 启动子结合降低β-和γ-ENaC 的表达,从而增加 Na⁺重吸收。因此,ERRα可能是导致盐敏感性高血压的因素之一。

https://cdn.ncbi.nlm.nih.gov/pmc/blobs/7932/4848936/c21310bc73c5/ijms-17-00480-g001.jpg

文献检索

告别复杂PubMed语法,用中文像聊天一样搜索,搜遍4000万医学文献。AI智能推荐,让科研检索更轻松。

立即免费搜索

文件翻译

保留排版,准确专业,支持PDF/Word/PPT等文件格式,支持 12+语言互译。

免费翻译文档

深度研究

AI帮你快速写综述,25分钟生成高质量综述,智能提取关键信息,辅助科研写作。

立即免费体验