Bruzzese Laurie, Fenouillet Emmanuel, Fromonot Julien, Durand-Gorde Josée-Martine, Condo Jocelyne, Kipson Nathalie, Mottola Giovanna, Deharo Pierre, Guieu Régis, Ruf Jean
UMR-MD2, Marseille Medical School, Aix-Marseille University and IRBA, Northern sector, Marseille, France.
CNRS, Institut des Sciences Biologiques, France.
J Cell Mol Med. 2016 Aug;20(8):1411-9. doi: 10.1111/jcmm.12829. Epub 2016 Apr 8.
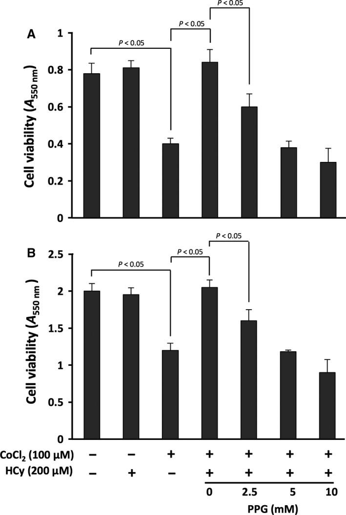
High homocysteine (HCy) levels are associated with lymphocyte-mediated inflammatory responses that are sometimes in turn related to hypoxia. Because adenosine is a potent lymphocyte suppressor produced in hypoxic conditions and shares metabolic pathways with HCy, we addressed the influence of high HCy levels on the hypoxia-induced, adenosine-mediated, alteration of lymphocyte viability. We treated mitogen-stimulated human lymphocytes isolated from healthy individuals and the human lymphoma T-cell line CEM with cobalt chloride (CoCl2 )to reproduce hypoxia. We found that CoCl2 -altered cell viability was dose-dependently reversed using HCy. In turn, the HCy effect was inhibited using DL-propargylglycine, a specific inhibitor of the hydrogen sulphide (H2 S)-synthesizing enzyme cystathionine-γ-lyase involved in HCy catabolism. We then addressed the intracellular metabolic pathway of adenosine and HCy, and the role of the adenosine A2A receptor (A2 A R). We observed that: (i) hypoxic conditions lowered the intracellular concentration of HCy by increasing adenosine production, which resulted in high A2 A R expression and 3', 5'-cyclic adenosine monophosphate production; (ii) increasing intracellular HCy concentration reversed the hypoxia-induced adenosinergic signalling despite high adenosine concentration by promoting both S-adenosylhomocysteine and H2 S production; (iii) DL-propargylglycine that inhibits H2 S production abolished the HCy effect. Together, these data suggest that high HCy levels prevent, via H2 S production and the resulting down-regulation of A2 A R expression, the hypoxia-induced adenosinergic alteration of lymphocyte viability. We point out the relevance of these mechanisms in the pathophysiology of cardiovascular diseases.
高同型半胱氨酸(HCy)水平与淋巴细胞介导的炎症反应相关,而这种炎症反应有时又与缺氧有关。由于腺苷是在缺氧条件下产生的一种有效的淋巴细胞抑制剂,且与HCy共享代谢途径,因此我们研究了高HCy水平对缺氧诱导的、腺苷介导的淋巴细胞活力改变的影响。我们用氯化钴(CoCl2)处理从健康个体分离的丝裂原刺激的人淋巴细胞和人淋巴瘤T细胞系CEM,以模拟缺氧状态。我们发现,使用HCy可剂量依赖性地逆转CoCl2诱导的细胞活力改变。反过来,使用DL-炔丙基甘氨酸可抑制HCy的作用,DL-炔丙基甘氨酸是参与HCy分解代谢的硫化氢(H2S)合成酶胱硫醚-γ-裂解酶的特异性抑制剂。然后,我们研究了腺苷和HCy的细胞内代谢途径以及腺苷A2A受体(A2AR)的作用。我们观察到:(i)缺氧条件通过增加腺苷生成降低了细胞内HCy浓度,这导致A2AR表达升高和3',5'-环磷酸腺苷生成增加;(ii)尽管腺苷浓度较高,但增加细胞内HCy浓度通过促进S-腺苷同型半胱氨酸和H2S生成,逆转了缺氧诱导的腺苷能信号传导;(iii)抑制H2S生成的DL-炔丙基甘氨酸消除了HCy的作用。总之,这些数据表明,高HCy水平通过产生H2S以及由此导致的A2AR表达下调,阻止了缺氧诱导的淋巴细胞活力的腺苷能改变。我们指出了这些机制在心血管疾病病理生理学中的相关性。