Suppr超能文献

聚乙二醇诱导的龙葵水分亏缺对分根系统中锌和镍吸收及转运的影响

Effects of PEG-Induced Water Deficit in Solanum nigrum on Zn and Ni Uptake and Translocation in Split Root Systems.

作者信息

Feller Urs, Anders Iwona, Wei Shuhe

机构信息

Institute of Plant Sciences and Oeschger Centre for Climate Change Research, University of Bern, Altenbergrain 21, CH-3013 Bern, Switzerland.

Key Laboratory of Pollution Ecology and Environmental Engineering, Institute of Applied Ecology, Chinese Academy of Sciences, Shenyang 110016, China.

出版信息

Plants (Basel). 2015 Jun 5;4(2):284-97. doi: 10.3390/plants4020284.

Abstract

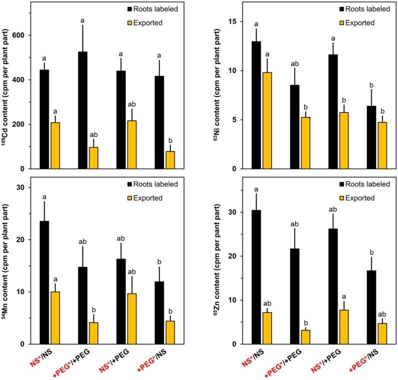
Drought strongly influences root activities in crop plants and weeds. This paper is focused on the performance of the heavy metal accumulator Solanum nigrum, a plant which might be helpful for phytoremediation. The water potential in a split root system was decreased by the addition of polyethylene glycol (PEG 6000). Rubidium, strontium and radionuclides of heavy metals were used as markers to investigate the uptake into roots, the release to the shoot via the xylem, and finally the basipetal transport via the phloem to unlabeled roots. The uptake into the roots (total contents in the plant) was for most makers more severely decreased than the transport to the shoot or the export from the shoot to the unlabeled roots via the phloem. Regardless of the water potential in the labeling solution, (63)Ni and (65)Zn were selectively redistributed within the plant. From autoradiographs, it became evident that (65)Zn accumulated in root tips, in the apical shoot meristem and in axillary buds, while (63)Ni accumulated in young expanded leaves and roots but not in the meristems. Since both radionuclides are mobile in the phloem and are, therefore, well redistributed within the plant, the unequal transfer to shoot and root apical meristems is most likely caused by differences in the cell-to-cell transport in differentiation zones without functional phloem (immature sieve tubes).

摘要

干旱对农作物和杂草的根系活动有强烈影响。本文聚焦于重金属富集植物龙葵的表现,这种植物可能有助于植物修复。通过添加聚乙二醇(PEG 6000)降低分根系统中的水势。铷、锶和重金属放射性核素用作标记物,以研究其被根系吸收、通过木质部向地上部的转运,以及最终通过韧皮部向未标记根系的向基运输。对于大多数标记物而言,根系的吸收(植物中的总含量)比向地上部的转运或通过韧皮部从地上部向未标记根系的输出下降得更严重。无论标记溶液中的水势如何,(63)Ni和(65)Zn在植物体内都有选择性地重新分布。从放射自显影片可以明显看出,(65)Zn积累在根尖、茎尖分生组织和腋芽中,而(63)Ni积累在幼嫩的展开叶片和根系中,但不在分生组织中。由于这两种放射性核素在韧皮部中都具有移动性,因此在植物体内能够很好地重新分布,向地上部和根尖分生组织的不均等转运很可能是由没有功能性韧皮部(未成熟筛管)的分化区细胞间运输差异所导致的。

https://cdn.ncbi.nlm.nih.gov/pmc/blobs/5cf1/4844325/da2198f5f537/plants-04-00284-g001.jpg

文献AI研究员

20分钟写一篇综述,助力文献阅读效率提升50倍。

立即体验

用中文搜PubMed

大模型驱动的PubMed中文搜索引擎

马上搜索

文档翻译

学术文献翻译模型,支持多种主流文档格式。

立即体验