Suppr超能文献

数字PCR能否作为21三体非侵入性产前检测的替代方法:概念验证研究

Could Digital PCR Be an Alternative as a Non-Invasive Prenatal Test for Trisomy 21: A Proof of Concept Study.

作者信息

El Khattabi Laïla Allach, Rouillac-Le Sciellour Christelle, Le Tessier Dominique, Luscan Armelle, Coustier Audrey, Porcher Raphael, Bhouri Rakia, Nectoux Juliette, Sérazin Valérie, Quibel Thibaut, Mandelbrot Laurent, Tsatsaris Vassilis, Vialard François, Dupont Jean-Michel

机构信息

INSERM, U1016, Institut Cochin, CNRS UMR8104, Université Paris Descartes, Paris, France.

Laboratoire de Cytogénétique, Hôpital Cochin-Maternité Port-Royal, AP-HP, Paris, France.

出版信息

PLoS One. 2016 May 11;11(5):e0155009. doi: 10.1371/journal.pone.0155009. eCollection 2016.

Abstract

OBJECTIVE

NIPT for fetal aneuploidy by digital PCR has been hampered by the large number of PCR reactions needed to meet statistical requirements, preventing clinical application. Here, we designed an octoplex droplet digital PCR (ddPCR) assay which allows increasing the number of available targets and thus overcomes statistical obstacles.

METHOD

After technical optimization of the multiplex PCR on mixtures of trisomic and euploid DNA, we performed a validation study on samples of plasma DNA from 213 pregnant women. Molecular counting of circulating cell-free DNA was performed using a mix of hydrolysis probes targeting chromosome 21 and a reference chromosome.

RESULTS

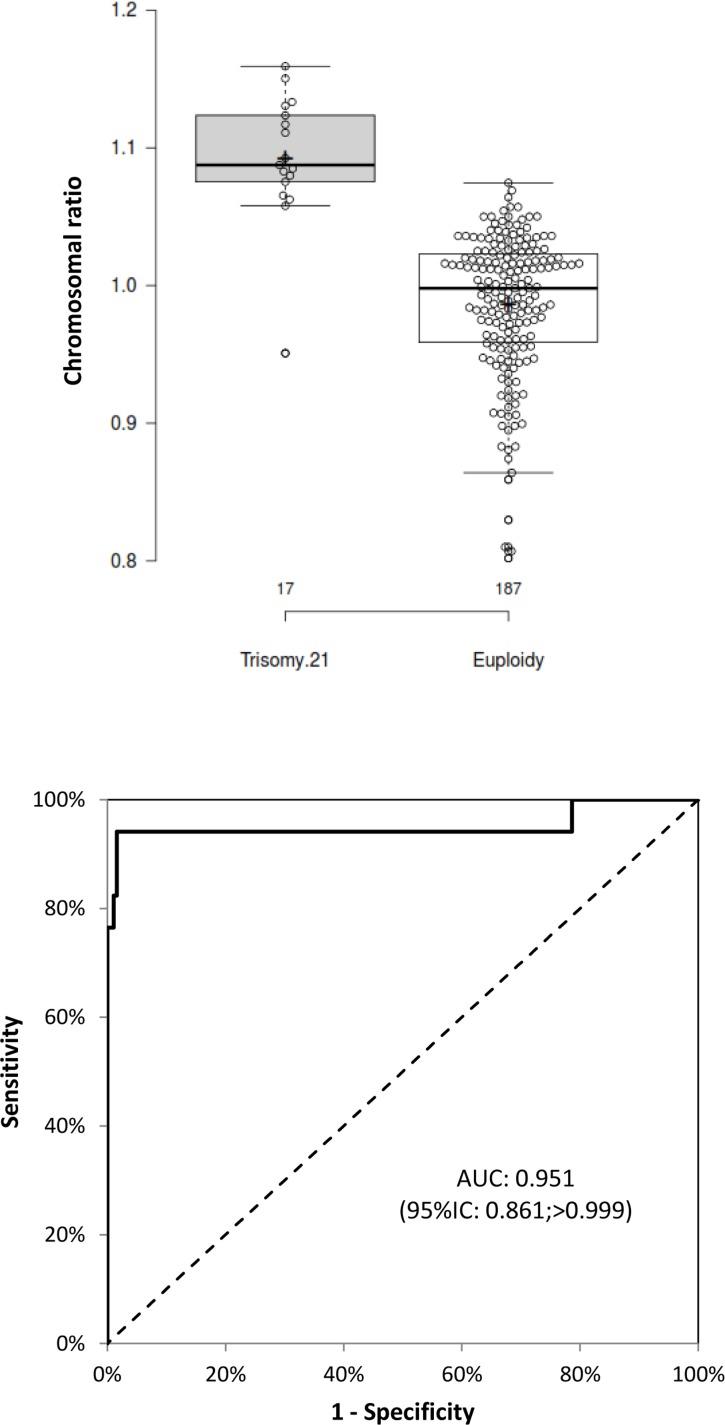
The results of our validation experiments showed that ddPCR detected trisomy 21 even when the sample's trisomic DNA content is as low as 5%. In a validation study of plasma samples from 213 pregnant women, ddPCR discriminated clearly between the trisomy 21 and the euploidy groups.

CONCLUSION

Our results demonstrate that digital PCR can meet the requirements for non-invasive prenatal testing of trisomy 21. This approach is technically simple, relatively cheap, easy to implement in a diagnostic setting and compatible with ethical concerns regarding access to nucleotide sequence information. These advantages make it a potential technique of choice for population-wide screening for trisomy 21 in pregnant women.

摘要

目的

通过数字PCR进行胎儿非整倍体的无创产前检测(NIPT)一直受到满足统计要求所需大量PCR反应的阻碍,从而无法应用于临床。在此,我们设计了一种八重液滴数字PCR(ddPCR)检测方法,该方法可增加可用靶标的数量,从而克服统计障碍。

方法

在对三体性和整倍体DNA混合物的多重PCR进行技术优化后,我们对213名孕妇的血浆DNA样本进行了验证研究。使用针对21号染色体和一条参考染色体的水解探针混合物对循环游离DNA进行分子计数。

结果

我们的验证实验结果表明,即使样本中的三体性DNA含量低至5%,ddPCR也能检测出21三体。在对213名孕妇的血浆样本进行的验证研究中,ddPCR能够清晰地区分21三体组和整倍体组。

结论

我们的结果表明,数字PCR能够满足21三体无创产前检测的要求。这种方法技术简单、成本相对较低、易于在诊断环境中实施,并且符合获取核苷酸序列信息的伦理要求。这些优势使其成为孕妇群体21三体筛查的潜在首选技术。

https://cdn.ncbi.nlm.nih.gov/pmc/blobs/d641/4864235/fd4e302ab048/pone.0155009.g001.jpg

文献AI研究员

20分钟写一篇综述,助力文献阅读效率提升50倍。

立即体验

用中文搜PubMed

大模型驱动的PubMed中文搜索引擎

马上搜索

文档翻译

学术文献翻译模型,支持多种主流文档格式。

立即体验