Suppr超能文献

盐胁迫下的非盐生植物对广食性食草动物的抗性增强。

Increased resistance to a generalist herbivore in a salinity-stressed non-halophytic plant.

作者信息

Renault Sylvie, Wolfe Scott, Markham John, Avila-Sakar Germán

机构信息

Department of Biological Sciences, University of Manitoba, Winnipeg, Manitoba R3T 2N2, Canada

Department of Biology, University of Winnipeg, 599 Portage Ave, Winnipeg, Manitoba R3B 2G3, Canada.

出版信息

AoB Plants. 2016 Jul 11;8. doi: 10.1093/aobpla/plw028. Print 2016.

Abstract

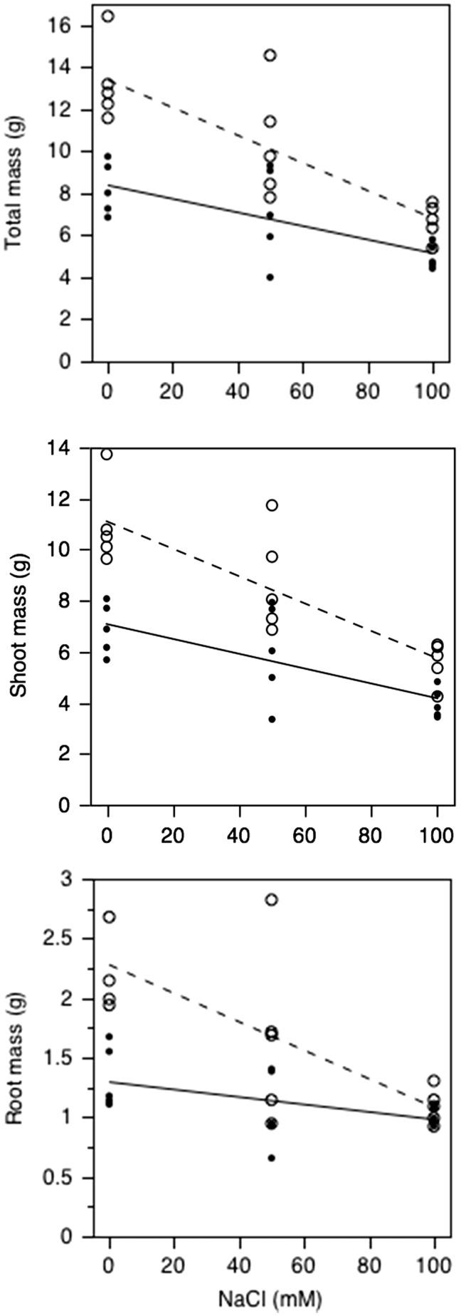
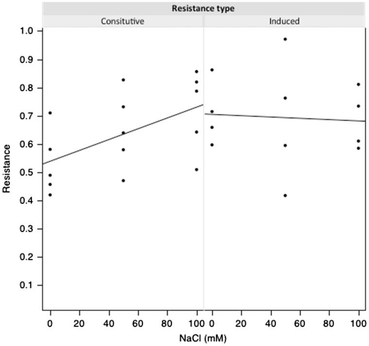
Plants often grow under the combined stress of several factors. Salinity and herbivory, separately, can severely hinder plant growth and reproduction, but the combined effects of both factors are still not clearly understood. Salinity is known to reduce plant tissue nitrogen content and growth rates. Since herbivores prefer tissues with high N content, and biochemical pathways leading to resistance are commonly elicited by salt-stress, we hypothesized that plants growing in saline conditions would have enhanced resistance against herbivores. The non-halophyte, Brassica juncea, and the generalist herbivore Trichoplusia ni were used to test the prediction that plants subjected to salinity stress would be both more resistant and more tolerant to herbivory than those growing without salt stress. Plants were grown under different NaCl levels, and either exposed to herbivores and followed by removal of half of their leaves, or left intact. Plants were left to grow and reproduce until senescence. Tissue quality was assessed, seeds were counted and biomass of different organs measured. Plants exposed to salinity grew less, had reduced tissue nitrogen, protein and chlorophyll content, although proline levels increased. Specific leaf area, leaf water content, transpiration and root:shoot ratio remained unaffected. Plants growing under saline condition had greater constitutive resistance than unstressed plants. However, induced resistance and tolerance were not affected by salinity. These results support the hypothesis that plants growing under salt-stress are better defended against herbivores, although in B. juncea this may be mostly through resistance, and less through tolerance.

摘要

植物常常在多种因素的复合胁迫下生长。盐分和食草作用各自都能严重阻碍植物的生长和繁殖,但这两种因素的综合影响仍未得到明确理解。已知盐分可降低植物组织中的氮含量和生长速率。由于食草动物偏好含氮量高的组织,且导致抗性的生化途径通常由盐胁迫引发,我们推测在盐渍条件下生长的植物对食草动物的抗性会增强。使用非盐生植物芥菜和广食性食草动物粉纹夜蛾来检验这一预测,即遭受盐胁迫的植物比未受盐胁迫生长的植物对食草作用更具抗性且更具耐受性。植物在不同的氯化钠水平下生长,要么暴露于食草动物并在之后摘除一半叶片,要么保持完整。让植物生长并繁殖直至衰老。评估组织质量,统计种子数量并测量不同器官的生物量。暴露于盐分环境下的植物生长较慢,组织中的氮、蛋白质和叶绿素含量降低,不过脯氨酸水平升高。比叶面积、叶片含水量、蒸腾作用以及根冠比未受影响。在盐渍条件下生长的植物比未受胁迫的植物具有更强的组成型抗性。然而,诱导抗性和耐受性不受盐分影响。这些结果支持了以下假设,即在盐胁迫下生长的植物对食草动物有更好的防御能力,尽管在芥菜中这可能主要是通过抗性,而较少通过耐受性。

https://cdn.ncbi.nlm.nih.gov/pmc/blobs/e444/4940500/c85c9152921d/plw028f1p.jpg

文献AI研究员

20分钟写一篇综述,助力文献阅读效率提升50倍。

立即体验

用中文搜PubMed

大模型驱动的PubMed中文搜索引擎

马上搜索

文档翻译

学术文献翻译模型,支持多种主流文档格式。

立即体验