Suppr超能文献

ε 近零超材料中部分相干光场的古斯 - 汉欣位移

Goos-Hänchen shift of partially coherent light fields in epsilon-near-zero metamaterials.

作者信息

Chuang You-Lin, Qamar Sajid, Lee Ray-Kuang

机构信息

Institute of Photonics and Technologies, National Tsing-Hua University, Hsinchu 300, Taiwan.

Department of Physics, COMSATS institute of information technology, Islamabad, Pakistan.

出版信息

Sci Rep. 2016 May 23;6:26504. doi: 10.1038/srep26504.

Abstract

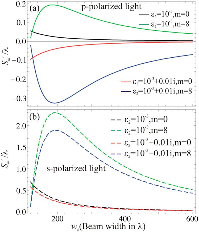
The Goos-Hänchen (GH) shifts in the reflected light are investigated both for p and s polarized partial coherent light beams incident on epsilon-near-zero (ENZ) metamaterials. In contrary to the coherent counterparts, the magnitude of GH shift becomes non-zero for p polarized partial coherent light beam; while GH shift can be relatively large with a small degree of spatial coherence for s polarized partial coherent beam. Dependence on the beam width and the permittivity of ENZ metamaterials is also revealed for partial coherent light fields. Our results on the GH shifts provide a direction on the applications for partial coherent light sources in ENZ metamaterials.

摘要

研究了p偏振和s偏振部分相干光束入射到近零介电常数(ENZ)超材料上时反射光中的古斯-汉欣(GH)位移。与相干情况相反,p偏振部分相干光束的GH位移大小变为非零;而对于s偏振部分相干光束,在空间相干度较小时GH位移可能相对较大。还揭示了部分相干光场对光束宽度和ENZ超材料介电常数的依赖性。我们关于GH位移的结果为ENZ超材料中部分相干光源的应用提供了一个方向。

https://cdn.ncbi.nlm.nih.gov/pmc/blobs/d2b6/4876443/9b8b76e52a79/srep26504-f1.jpg

文献AI研究员

20分钟写一篇综述,助力文献阅读效率提升50倍。

立即体验

用中文搜PubMed

大模型驱动的PubMed中文搜索引擎

马上搜索

文档翻译

学术文献翻译模型,支持多种主流文档格式。

立即体验