Suppr超能文献

晚期前列腺癌患者循环肿瘤细胞计数下降与治疗结果

Decline in Circulating Tumor Cell Count and Treatment Outcome in Advanced Prostate Cancer.

作者信息

Lorente David, Olmos David, Mateo Joaquin, Bianchini Diletta, Seed George, Fleisher Martin, Danila Daniel C, Flohr Penny, Crespo Mateus, Figueiredo Ines, Miranda Susana, Baeten Kurt, Molina Arturo, Kheoh Thian, McCormack Robert, Terstappen Leon W M M, Scher Howard I, de Bono Johann S

机构信息

Prostate Cancer Targeted Therapy Group, The Royal Marsden NHS Foundation Trust and The Institute of Cancer Research, Sutton, UK; Medical Oncology Service, Hospital Universitario La Fe, Valencia, Spain.

Prostate Cancer Clinical Research Unit, Spanish National Cancer Research Centre (CNIO), Madrid, Spain; CNIO-IBIMA Genitourinary Cancer Unit, Department of Medical Oncology, Hospitales Universitarios Virgen de la Victoria y Regional de Málaga, Málaga, Spain.

出版信息

Eur Urol. 2016 Dec;70(6):985-992. doi: 10.1016/j.eururo.2016.05.023. Epub 2016 Jun 9.

Abstract

BACKGROUND

Treatment response biomarkers are urgently needed for castration-resistant prostate cancer (CRPC). Baseline and post-treatment circulating tumor cell (CTC) counts of ≥5 cells/7.5ml are associated with poor CRPC outcome.

OBJECTIVE

To determine the value of a ≥30% CTC decline as a treatment response indicator.

DESIGN, SETTING, AND PARTICIPANTS: We identified patients with a baseline CTC count ≥5 cells/7.5ml and evaluable post-treatment CTC counts in two prospective trials.

INTERVENTION

Patients were treated in the COU-AA-301 (abiraterone after chemotherapy) and IMMC-38 (chemotherapy) trials.

OUTCOME MEASURES AND STATISTICAL ANALYSIS

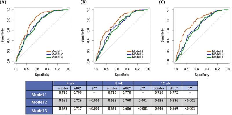
The association between a ≥30% CTC decline after treatment and survival was evaluated using univariable and multivariable Cox regression models at three landmark time points (4, 8, and 12 wk). Model performance was evaluated by calculating the area under the receiver operating characteristic curve (AUC) and c-indices.

RESULTS

Overall 486 patients (122 in IMMC-38 and 364 in COU-AA-301) had a CTC count ≥5 cells/7.5ml at baseline, with 440, 380, and 351 patients evaluable at 4, 8, and 12 wk, respectively. A 30% CTC decline was associated with increased survival at 4 wk (hazard ratio [HR] 0.45, 95% confidence interval [CI] 0.36-0.56; p<0.001), 8 wk (HR 0.41, 95% CI 0.33-0.53; p<0.001), and 12 wk (HR 0.39, 95% CI 0.3-0.5; p<0.001) in univariable and multivariable analyses. Stable CTC count (<30% fall or <30% increase) was not associated with a survival benefit when compared with increased CTC count. The association between a 30% CTC decline after treatment and survival was independent of baseline CTC count. CTC declines significantly improved the AUC at all time-points. Finally, in the COU-AA-301 trial, patients with CTC ≥5 cells/7.5ml and a 30% CTC decline had similar overall survival in both arms.

CONCLUSIONS

A 30% CTC decline after treatment from an initial count ≥5 cells/7.5ml is independently associated with CRPC overall survival following abiraterone and chemotherapy, improving the performance of a multivariable model as early as 4 wk after treatment. This potential surrogate must now be prospectively evaluated.

PATIENT SUMMARY

Circulating tumor cells (CTCs) are cancer cells that can be detected in the blood of prostate cancer patients. We analyzed changes in CTCs after treatment with abiraterone and chemotherapy in two large clinical trials, and found that patients who have a decline in CTC count have a better survival outcome.

摘要

背景

去势抵抗性前列腺癌(CRPC)迫切需要治疗反应生物标志物。基线及治疗后循环肿瘤细胞(CTC)计数≥5个细胞/7.5毫升与CRPC的不良预后相关。

目的

确定CTC下降≥30%作为治疗反应指标的价值。

设计、设置和参与者:我们在两项前瞻性试验中确定了基线CTC计数≥5个细胞/7.5毫升且治疗后CTC计数可评估的患者。

干预

患者在COU-AA-301(化疗后使用阿比特龙)和IMMC-38(化疗)试验中接受治疗。

结局指标和统计分析

在三个标志性时间点(4、8和12周),使用单变量和多变量Cox回归模型评估治疗后CTC下降≥30%与生存之间的关联。通过计算受试者工作特征曲线下面积(AUC)和c指数评估模型性能。

结果

总体而言,486例患者(IMMC-38中有122例,COU-AA-301中有364例)基线时CTC计数≥5个细胞/7.5毫升,分别有440例、380例和351例患者在4周、8周和12周时可评估。单变量和多变量分析显示,治疗后CTC下降30%与4周时(风险比[HR]0.45,95%置信区间[CI]0.36 - 0.56;p<0.001)、8周时(HR 0.41,95%CI 0.33 - 0.53;p<0.001)和12周时(HR 0.39,95%CI 0.3 - 0.5;p<0.001)生存率提高相关。与CTC计数增加相比,CTC计数稳定(下降<30%或增加<30%)与生存获益无关。治疗后CTC下降30%与生存之间的关联独立于基线CTC计数。CTC下降在所有时间点均显著改善了AUC。最后,在COU-AA-301试验中,CTC≥5个细胞/7.5毫升且CTC下降30%的患者在两组中的总生存期相似。

结论

初始计数≥5个细胞/7.5毫升的患者治疗后CTC下降30%与阿比特龙和化疗后的CRPC总生存期独立相关,早在治疗后4周即可改善多变量模型的性能。现在必须对这一潜在替代指标进行前瞻性评估。

患者总结

循环肿瘤细胞(CTC)是可在前列腺癌患者血液中检测到的癌细胞。我们在两项大型临床试验中分析了阿比特龙和化疗治疗后CTC的变化,发现CTC计数下降的患者生存结局更好。

https://cdn.ncbi.nlm.nih.gov/pmc/blobs/2f80/5568108/6e908338e9e6/nihms895649f1.jpg

文献AI研究员

20分钟写一篇综述,助力文献阅读效率提升50倍。

立即体验

用中文搜PubMed

大模型驱动的PubMed中文搜索引擎

马上搜索

文档翻译

学术文献翻译模型,支持多种主流文档格式。

立即体验