Suppr超能文献

基于脂质的药物递送系统的体外脂解作用:药物释放与液晶相之间新发现的关系

The In Vitro Lipolysis of Lipid-Based Drug Delivery Systems: A Newly Identified Relationship between Drug Release and Liquid Crystalline Phase.

作者信息

Xiao Lu, Yi Tao, Liu Ying, Zhou Hua

机构信息

State Key Laboratory of Quality Research in Chinese Medicine, Macau Institute for Applied Research in Medicine and Health, Macau University of Science and Technology, Macau.

School of Health Sciences, Macao Polytechnic Institute, Macau.

出版信息

Biomed Res Int. 2016;2016:2364317. doi: 10.1155/2016/2364317. Epub 2016 May 16.

Abstract

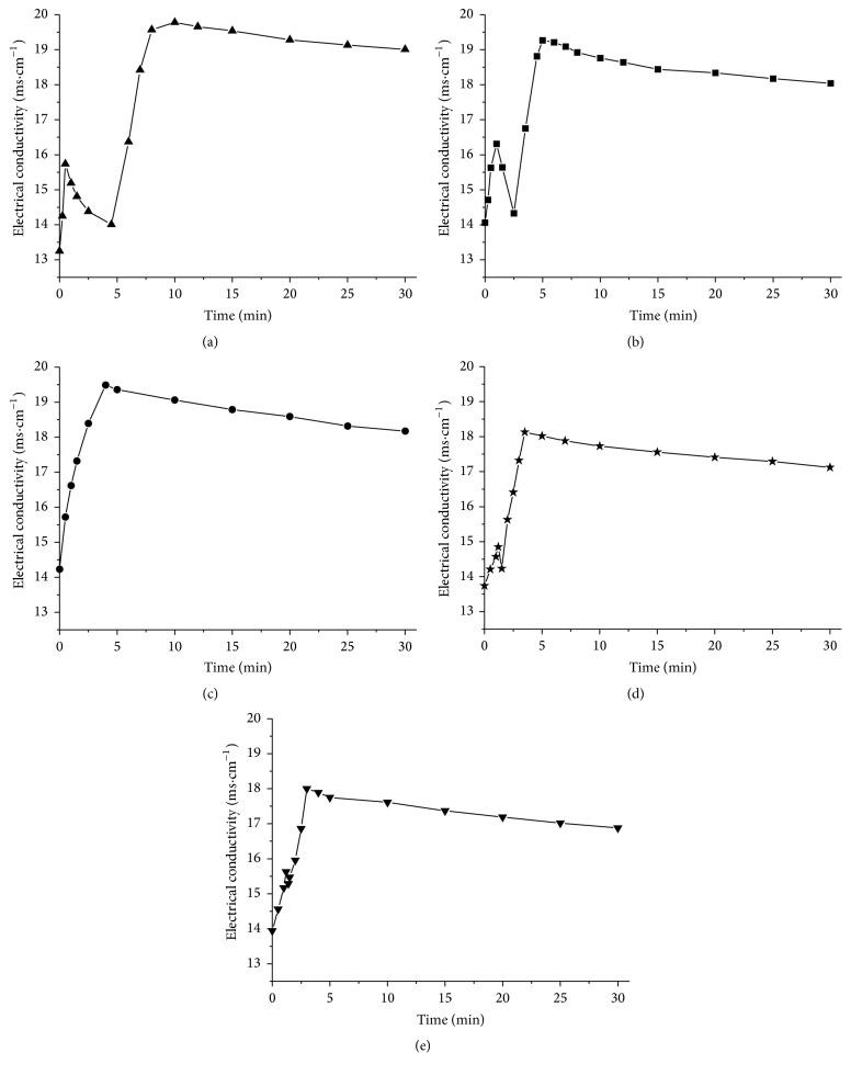
The purpose of this study was to offer a new insight into the microstructure changes during in vitro lipolysis of five lipid-based drug delivery formulations belonging to different lipid formulation types. Five lipid-based formulations of indomethacin were investigated using an in vitro lipolysis model. During lipolysis, microstructures of the intermediate phase formed by lipolytic products were observed. The results showed that the time of liquid crystal formation during in vitro digestion for these formulations was Type I > Type II > Type IIIB > Type IV > Type IIIA (p < 0.05). After lipolysis, the drug releases from these formulations were determined. The results showed that the amount of drug distributed in the aqueous phase, obtained by ultracentrifuge after lipolysis, was, astonishingly, in inverse rank order of the above mentioned, that is, Type IIIA > Type IV > Type IIIB > Type II > Type I (p < 0.05). These results showed that the liquid crystalline phase probably has a critical influence on the fate of the drug during in vitro lipolysis and suggested that the liquid crystalline phase facilitated drug precipitation. These findings may improve the understanding of lipolysis of lipid-based drug delivery systems for designing better delivery system.

摘要

本研究的目的是深入了解属于不同脂质制剂类型的五种脂质基药物递送制剂在体外脂解过程中的微观结构变化。使用体外脂解模型研究了五种吲哚美辛脂质基制剂。在脂解过程中,观察了脂解产物形成的中间相的微观结构。结果表明,这些制剂在体外消化过程中形成液晶的时间为I型>II型>IIIB型>IV型>IIIA型(p<0.05)。脂解后,测定了这些制剂的药物释放情况。结果表明,脂解后通过超速离心获得的分布在水相中的药物量,令人惊讶地与上述顺序相反,即IIIA型>IV型>IIIB型>II型>I型(p<0.05)。这些结果表明,液晶相可能对体外脂解过程中药物的命运有关键影响,并表明液晶相促进了药物沉淀。这些发现可能有助于更好地理解脂质基药物递送系统的脂解过程,从而设计出更好的递送系统。

https://cdn.ncbi.nlm.nih.gov/pmc/blobs/91db/4884793/c1c3f23486a1/BMRI2016-2364317.001.jpg

文献AI研究员

20分钟写一篇综述,助力文献阅读效率提升50倍。

立即体验

用中文搜PubMed

大模型驱动的PubMed中文搜索引擎

马上搜索

文档翻译

学术文献翻译模型,支持多种主流文档格式。

立即体验