Suppr超能文献

[局部晚期胸腺瘤非手术治疗的结果]

[Outcome of Nonsurgical Treatment for Locally Advanced Thymic Tumors].

作者信息

Wang Changlu, Gao Lanting, Lv Changxing, Zhu Lei, Fang Wentao

机构信息

Department of Radiation Oncology, Shanghai Chest Hospital, Shanghai Jiaotong University, Shanghai 200030, China.

Department of Pathology, Shanghai Chest Hospital, Shanghai Jiaotong University, Shanghai 200030, China.

出版信息

Zhongguo Fei Ai Za Zhi. 2016 Jul 20;19(7):483-8. doi: 10.3779/j.issn.1009-3419.2016.07.11.

Abstract

BACKGROUND

Surgical resection remains the mainstay of treatment for patients with early-staged thymic tumors, while chemotherapy is most commonly used in stage IV cases. As for locally advanced thymic tumors, especially those unsuitable for surgery, the optimal therapy is still controversial. Thus, we conducted this retrospective study by comparing three nonsurgical treatment modalities to find some clues.

METHODS

Three treatment modalities were used in 42 patients from October 2000 to December 2010, including radiotherapy (RT) alone, sequential chemoradiation (SCRT) and concurrent chemoradiation (CCRT). Objective response rate (ORR), overall survival (OS) and toxicity of the three regimens were compared accordingly.

RESULTS

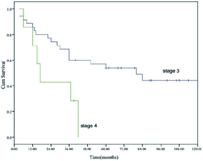
The ORR in all 42 patients was 61.9%, and 5-year OS was 46%. The ORR of RT, SCRT and CCRT were 43.8%, 50% and 87.5%, respectively (RT vs SCRT, P=0.692; RT vs CCRT, P=0.009; SCRT vs CCRT, P=0.051). The 5-year OS of RT, SCRT and CCRT were 30%, 50% and 61.9%, respectively (RT vs SCRT, P=0.230; RT vs CCRT, P=0.011; SCRT vs CCRT, P=0.282). Eleven patients developed neutropenia of grade 3-4, with 7 in CCRT group and 4 in SCRT, respectively. Nine patients experienced esophagitis of grade 3 with 2 in RT, 3 in SCRT and 4 in CCRT. There were also two cases of grade 3 radiation induced pneumonitis in CCRT group. No life-threatening side effects were noted.

CONCLUSIONS

When used to treat locally advanced thymic tumors unsuitable for surgery, CCRT performed more favorably than RT alone or SCRT in both tumor response and long time survival, but probably with the increasing risk of pulmonary damage. CCRT may offer the best chance of disease control in the management of locally advanced disease.

摘要

背景

手术切除仍是早期胸腺肿瘤患者的主要治疗方法,而化疗最常用于IV期病例。对于局部晚期胸腺肿瘤,尤其是那些不适合手术的患者,最佳治疗方案仍存在争议。因此,我们通过比较三种非手术治疗方式进行了这项回顾性研究以寻找线索。

方法

2000年10月至2010年12月期间,42例患者采用了三种治疗方式,包括单纯放疗(RT)、序贯放化疗(SCRT)和同步放化疗(CCRT)。相应地比较了三种治疗方案的客观缓解率(ORR)、总生存期(OS)和毒性。

结果

42例患者的ORR为61.9%,5年总生存率为46%。RT、SCRT和CCRT的ORR分别为43.8%、50%和87.5%(RT与SCRT比较,P = 0.692;RT与CCRT比较,P = 0.009;SCRT与CCRT比较,P = 0.051)。RT、SCRT和CCRT的5年总生存率分别为30%、50%和61.9%(RT与SCRT比较,P = 0.230;RT与CCRT比较,P = 0.011;SCRT与CCRT比较,P = 0.282)。11例患者发生3-4级中性粒细胞减少,CCRT组7例,SCRT组4例。9例患者发生3级食管炎,RT组2例,SCRT组3例,CCRT组4例。CCRT组还有2例3级放射性肺炎。未观察到危及生命的副作用。

结论

当用于治疗不适合手术的局部晚期胸腺肿瘤时,CCRT在肿瘤反应和长期生存方面比单纯RT或SCRT表现更优,但可能肺部损伤风险增加。CCRT可能为局部晚期疾病的管理提供最佳的疾病控制机会。

https://cdn.ncbi.nlm.nih.gov/pmc/blobs/ed95/6133979/f05182a72467/zgfazz-19-7-483-1.jpg

文献AI研究员

20分钟写一篇综述,助力文献阅读效率提升50倍。

立即体验

用中文搜PubMed

大模型驱动的PubMed中文搜索引擎

马上搜索

文档翻译

学术文献翻译模型,支持多种主流文档格式。

立即体验