Suppr超能文献

基于生物地理学优化算法的磁通门磁芯参数辨识

Parameters Identification of Fluxgate Magnetic Core Adopting the Biogeography-Based Optimization Algorithm.

作者信息

Jiang Wenjuan, Shi Yunbo, Zhao Wenjie, Wang Xiangxin

机构信息

The Higher Educational Key Laboratory for Measuring & Control Technology and Instrumentations of Heilongjiang Province, School of Measurement-Control Technology & Communications Engineering, Harbin University of Science and Technology, Harbin 150080, China.

School of Automation Engineering, Northeast Dianli University, Jilin 132012, China.

出版信息

Sensors (Basel). 2016 Jun 25;16(7):979. doi: 10.3390/s16070979.

Abstract

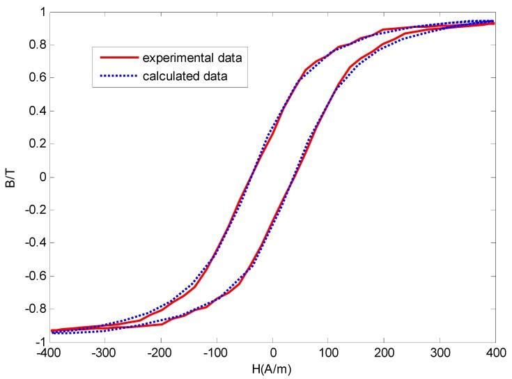
The main part of the magnetic fluxgate sensor is the magnetic core, the hysteresis characteristic of which affects the performance of the sensor. When the fluxgate sensors are modelled for design purposes, an accurate model of hysteresis characteristic of the cores is necessary to achieve good agreement between modelled and experimental data. The Jiles-Atherton model is simple and can reflect the hysteresis properties of the magnetic material precisely, which makes it widely used in hysteresis modelling and simulation of ferromagnetic materials. However, in practice, it is difficult to determine the parameters accurately owing to the sensitivity of the parameters. In this paper, the Biogeography-Based Optimization (BBO) algorithm is applied to identify the Jiles-Atherton model parameters. To enhance the performances of the BBO algorithm such as global search capability, search accuracy and convergence rate, an improved Biogeography-Based Optimization (IBBO) algorithm is put forward by using Arnold map and mutation strategy of Differential Evolution (DE) algorithm. Simulation results show that IBBO algorithm is superior to Genetic Algorithm (GA), Particle Swarm Optimization (PSO) algorithm, Differential Evolution algorithm and BBO algorithm in identification accuracy and convergence rate. The IBBO algorithm is applied to identify Jiles-Atherton model parameters of selected permalloy. The simulation hysteresis loop is in high agreement with experimental data. Using permalloy as core of fluxgate probe, the simulation output is consistent with experimental output. The IBBO algorithm can identify the parameters of Jiles-Atherton model accurately, which provides a basis for the precise analysis and design of instruments and equipment with magnetic core.

摘要

磁通门传感器的主要部分是磁芯,其磁滞特性会影响传感器的性能。在为设计目的对磁通门传感器进行建模时,需要磁芯磁滞特性的精确模型,以便使建模数据与实验数据高度吻合。吉莱斯 - 阿特金森(Jiles - Atherton)模型简单且能精确反映磁性材料的磁滞特性,这使其在铁磁材料的磁滞建模与仿真中得到广泛应用。然而,在实际应用中,由于参数的敏感性,很难准确确定这些参数。本文将基于生物地理学的优化(BBO)算法应用于吉莱斯 - 阿特金森模型参数的识别。为了提高BBO算法的性能,如全局搜索能力、搜索精度和收敛速度,通过使用阿诺德映射和差分进化(DE)算法的变异策略,提出了一种改进的基于生物地理学的优化(IBBO)算法。仿真结果表明,在识别精度和收敛速度方面,IBBO算法优于遗传算法(GA)、粒子群优化(PSO)算法、差分进化算法和BBO算法。将IBBO算法应用于选定坡莫合金的吉莱斯 - 阿特金森模型参数识别。仿真磁滞回线与实验数据高度吻合。以坡莫合金作为磁通门探头的磁芯,仿真输出与实验输出一致。IBBO算法能够准确识别吉莱斯 - 阿特金森模型的参数,为含磁芯仪器设备的精确分析与设计提供了依据。

https://cdn.ncbi.nlm.nih.gov/pmc/blobs/d53f/4970030/db96b51eecc9/sensors-16-00979-g001.jpg

文献AI研究员

20分钟写一篇综述,助力文献阅读效率提升50倍。

立即体验

用中文搜PubMed

大模型驱动的PubMed中文搜索引擎

马上搜索

文档翻译

学术文献翻译模型,支持多种主流文档格式。

立即体验