Sims Jennie R, Ow Maria C, Nishiguchi Mailyn A, Kim Kyuhyung, Sengupta Piali, Hall Sarah E
Department of Biology, Syracuse University, Syracuse, United States.
Department of Brain and Cognitive Sciences, Daegu Gyeongbuk Institute of Science and Technology, Daegu, Republic of Korea.
Elife. 2016 Jun 28;5:e11642. doi: 10.7554/eLife.11642.
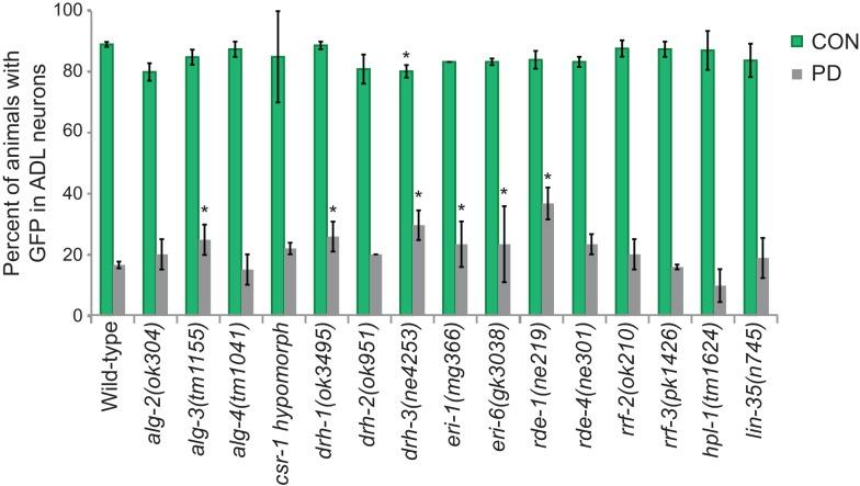
Environmental stress during early development can impact adult phenotypes via programmed changes in gene expression. C. elegans larvae respond to environmental stress by entering the stress-resistant dauer diapause pathway and resume development once conditions improve (postdauers). Here we show that the osm-9 TRPV channel gene is a target of developmental programming and is down-regulated specifically in the ADL chemosensory neurons of postdauer adults, resulting in a corresponding altered olfactory behavior that is mediated by ADL in an OSM-9-dependent manner. We identify a cis-acting motif bound by the DAF-3 SMAD and ZFP-1 (AF10) proteins that is necessary for the differential regulation of osm-9, and demonstrate that both chromatin remodeling and endo-siRNA pathways are major contributors to the transcriptional silencing of the osm-9 locus. This work describes an elegant mechanism by which developmental experience influences adult phenotypes by establishing and maintaining transcriptional changes via RNAi and chromatin remodeling pathways.
早期发育过程中的环境应激可通过基因表达的程序性变化影响成体表型。秀丽隐杆线虫幼虫通过进入抗应激的 dauer 滞育途径来应对环境应激,并在条件改善后(滞育后)恢复发育。我们在此表明,osm-9 TRPV 通道基因是发育编程的一个靶点,并且在滞育后成虫的 ADL 化学感受神经元中特异性下调,导致相应的嗅觉行为改变,该行为由 ADL 以 OSM-9 依赖的方式介导。我们鉴定出一个由 DAF-3 SMAD 和 ZFP-1(AF10)蛋白结合的顺式作用基序,它对于 osm-9 的差异调节是必需的,并证明染色质重塑和内源性小干扰 RNA 途径都是 osm-9 基因座转录沉默的主要促成因素。这项工作描述了一种精妙的机制,通过该机制发育经历通过 RNA 干扰和染色质重塑途径建立并维持转录变化,从而影响成体表型。