Nam Hee Chul, Lee Hae Lim, Yang Hyun, Song Myeong Jun
Division of Hepatology, Department of Internal Medicine, College of Medicine, The Catholic University of Korea, Seoul, Korea.
Division of Hepatology, Department of Internal Medicine, Daejeon St. Mary's Hospital, College of Medicine, The Catholic University of Korea, Daejeon, Korea.
Clin Mol Hepatol. 2016 Jun;22(2):259-66. doi: 10.3350/cmh.2016.0020. Epub 2016 Jun 30.
BACKGROUND/AIMS: The treatment strategy for hepatitis C virus (HCV) has been changing rapidly since the introduction of direct-acting antivirals such as daclatasvir (DCV) and asunaprevir (ASV). We evaluated the efficacy and safety of DCV and ASV for HCV in real-life practice.
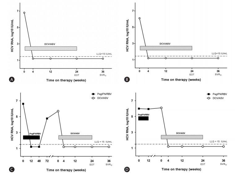
Patients were treated with 60 mg of DCV once daily plus 200 mg of ASV twice daily for 24 weeks, and followed for 12 weeks. The primary endpoint was a sustained virological response at 12 weeks after treatment (SVR12) and safety.
This retrospective study included eight patients with chronic HCV genotype 1b infection. All of the enrolled patients were diagnosed with liver cirrhosis, and their mean age was 65.75 years. One patient was a nonresponder and two patients relapsed with previous pegylated interferon (PegIFN) and ribavirin (RBV) treatment. None of the patient showed NS5A mutation. An SVR12 was achieved in 88% of cases by the DCV and ASV combination therapy. The serum transaminase level and the aspartate-aminotransferase-to-platelet ratio were improved after the treatment. DCV and ASV were well tolerated in most of the patients, with treatment discontinuation due to adverse events (elevated liver enzyme and decompensation) occurring in two patients.
In this study, combination of DCV and ASV treatment achieved a high sustained virological response with few adverse events even in those with cirrhosis, advanced age, and nonresponse/relapse to previous interferon-based therapy. Close monitoring of safety issues may be necessary when treating chronic HCV patients receiving DCV and ASV, especially in older patient and those with cirrhosis.
背景/目的:自从引入如达卡他韦(DCV)和阿舒瑞韦(ASV)等直接作用抗病毒药物以来,丙型肝炎病毒(HCV)的治疗策略一直在迅速变化。我们评估了DCV和ASV在实际临床实践中治疗HCV的疗效和安全性。
患者接受每日一次60mg DCV加每日两次200mg ASV治疗,疗程为24周,并随访12周。主要终点为治疗后12周的持续病毒学应答(SVR12)及安全性。
这项回顾性研究纳入了8例慢性HCV 1b型感染患者。所有入组患者均被诊断为肝硬化,平均年龄为65.75岁。1例患者无应答,2例患者在既往聚乙二醇干扰素(PegIFN)和利巴韦林(RBV)治疗后复发。所有患者均未出现NS5A突变。DCV与ASV联合治疗使88%的患者获得了SVR12。治疗后血清转氨酶水平及天冬氨酸转氨酶与血小板比值均有所改善。大多数患者对DCV和ASV耐受性良好,2例患者因不良事件(肝酶升高和失代偿)而停药。
在本研究中,DCV与ASV联合治疗即使在肝硬化、高龄以及对既往基于干扰素治疗无应答/复发的患者中也实现了高持续病毒学应答且不良事件较少。在治疗接受DCV和ASV的慢性HCV患者时,尤其是老年患者和肝硬化患者,可能有必要密切监测安全性问题。