Suppr超能文献

基于线粒体DNA D-loop序列的藏绵羊遗传多样性与系统发育进化

Genetic Diversity and Phylogenetic Evolution of Tibetan Sheep Based on mtDNA D-Loop Sequences.

作者信息

Liu Jianbin, Ding Xuezhi, Zeng Yufeng, Yue Yaojing, Guo Xian, Guo Tingting, Chu Min, Wang Fan, Han Jilong, Feng Ruilin, Sun Xiaoping, Niu Chune, Yang Bohui, Guo Jian, Yuan Chao

机构信息

Lanzhou Institute of Husbandry and Pharmaceutical Sciences of the Chinese Academy of Agricultural Sciences, Jiangouyan Street, Lanzhou, China.

Sheep Breeding Engineering Technology Research Center of Chinese Academy of Agricultural Sciences, Jiangouyan Street, Lanzhou, China.

出版信息

PLoS One. 2016 Jul 27;11(7):e0159308. doi: 10.1371/journal.pone.0159308. eCollection 2016.

Abstract

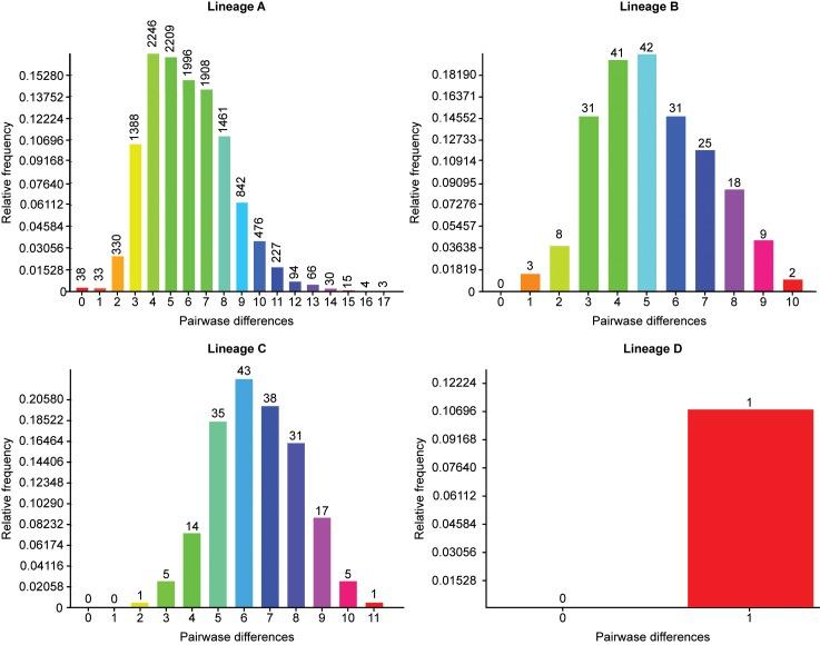
The molecular and population genetic evidence of the phylogenetic status of the Tibetan sheep (Ovis aries) is not well understood, and little is known about this species' genetic diversity. This knowledge gap is partly due to the difficulty of sample collection. This is the first work to address this question. Here, the genetic diversity and phylogenetic relationship of 636 individual Tibetan sheep from fifteen populations were assessed using 642 complete sequences of the mitochondrial DNA D-loop. Samples were collected from the Qinghai-Tibetan Plateau area in China, and reference data were obtained from the six reference breed sequences available in GenBank. The length of the sequences varied considerably, between 1031 and 1259 bp. The haplotype diversity and nucleotide diversity were 0.992±0.010 and 0.019±0.001, respectively. The average number of nucleotide differences was 19.635. The mean nucleotide composition of the 350 haplotypes was 32.961% A, 29.708% T, 22.892% C, 14.439% G, 62.669% A+T, and 37.331% G+C. Phylogenetic analysis showed that all four previously defined haplogroups (A, B, C, and D) were found in the 636 individuals of the fifteen Tibetan sheep populations but that only the D haplogroup was found in Linzhou sheep. Further, the clustering analysis divided the fifteen Tibetan sheep populations into at least two clusters. The estimation of the demographic parameters from the mismatch analyses showed that haplogroups A, B, and C had at least one demographic expansion in Tibetan sheep. These results contribute to the knowledge of Tibetan sheep populations and will help inform future conservation programs about the Tibetan sheep native to the Qinghai-Tibetan Plateau.

摘要

藏绵羊(Ovis aries)系统发育地位的分子和群体遗传学证据尚未得到充分了解,对该物种的遗传多样性也知之甚少。这一知识空白部分归因于样本采集的困难。这是解决该问题的第一项研究。在此,利用线粒体DNA D-loop的642条完整序列评估了来自15个群体的636只藏绵羊个体的遗传多样性和系统发育关系。样本采集于中国青藏高原地区,并从GenBank中可获得的6个参考品种序列获取了参考数据。序列长度差异很大,在1031至1259 bp之间。单倍型多样性和核苷酸多样性分别为0.992±0.010和0.019±0.001。核苷酸差异的平均数量为19.635。350个单倍型的平均核苷酸组成为:A占32.961%,T占29.708%,C占22.892%,G占14.439%,A+T占62.669%,G+C占37.331%。系统发育分析表明,在15个藏绵羊群体的636只个体中发现了所有先前定义的4个单倍群(A、B、C和D),但仅在临州绵羊中发现了D单倍群。此外,聚类分析将15个藏绵羊群体至少分为两个聚类。错配分析对群体参数的估计表明,单倍群A、B和C在藏绵羊中至少经历了一次群体扩张。这些结果有助于了解藏绵羊群体,并将为未来针对青藏高原本土藏绵羊的保护计划提供参考。

https://cdn.ncbi.nlm.nih.gov/pmc/blobs/2cf3/4963133/06a8e68653d7/pone.0159308.g001.jpg

文献AI研究员

20分钟写一篇综述,助力文献阅读效率提升50倍。

立即体验

用中文搜PubMed

大模型驱动的PubMed中文搜索引擎

马上搜索

文档翻译

学术文献翻译模型,支持多种主流文档格式。

立即体验