Suppr超能文献

在无水环境中形成β-环糊精复合物。

Formation of β-cyclodextrin complexes in an anhydrous environment.

作者信息

Sifaoui Hocine, Modarressi Ali, Magri Pierre, Stachowicz-Kuśnierz Anna, Korchowiec Jacek, Rogalski Marek

机构信息

Laboratoire de Physico-Chimie des Matériaux et Catalyse, Département de Chimie, Faculté des Sciences Exactes, Université Abderrahmane Mira, Béjaïa, Algeria.

Laboratoire de Chimie et de Physique Approches Multi-échelles des Milieux Complexes, Université de Lorraine, 1 Boulevard Arago, Technopole, 57070, Metz, France.

出版信息

J Mol Model. 2016 Sep;22(9):207. doi: 10.1007/s00894-016-3061-6. Epub 2016 Aug 12.

Abstract

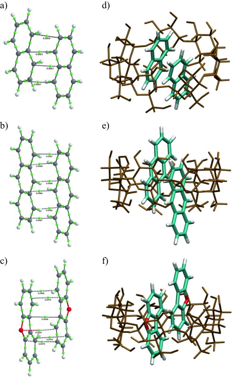
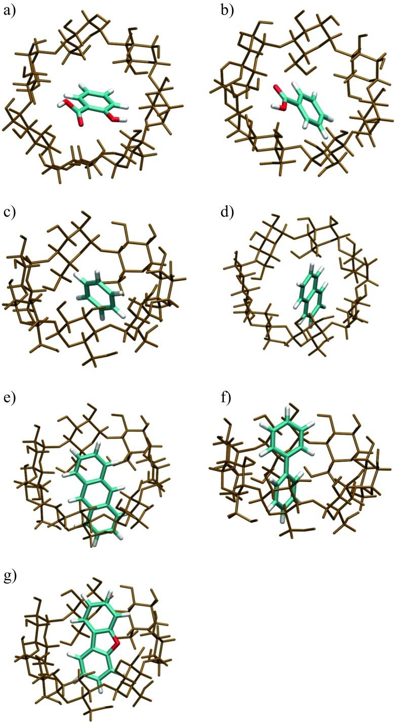
The formation of inclusion complexes of β-cyclodextrin was studied at the melting temperature of guest compounds by differential scanning calorimetry. The complexes of long-chain n-alkanes, polyaromatics, and organic acids were investigated by calorimetry and IR spectroscopy. The complexation ratio of β-cyclodextrin was compared with results obtained in an aqueous environment. The stability and structure of inclusion complexes with various stoichiometries were estimated by quantum chemistry and molecular dynamics calculations. Comparison of experimental and theoretical results confirmed the possible formation of multiple inclusion complexes with guest molecules capable of forming hydrogen bonds. This finding gives new insight into the mechanism of formation of host-guest complexes and shows that hydrophobic interactions play a secondary role in this case. Graphical abstract The formation of complexes of β-cyclodextrin with selected n-alkanes, polyaromatics, and organic acids in an anhydrous environment is studied by differential scanning calorimetry, IR spectroscopy, and molecular modeling. The results obtained confirm the possible formation of multiple inclusion complexes with guest molecules capable of forming hydrogen bonds and give a new perspective on the mechanism of formation of host-guest complexes.

摘要

通过差示扫描量热法在客体化合物的熔点温度下研究了β-环糊精包合物的形成。通过量热法和红外光谱研究了长链正构烷烃、多环芳烃和有机酸的配合物。将β-环糊精的络合比与在水环境中获得的结果进行了比较。通过量子化学和分子动力学计算估计了具有各种化学计量比的包合物的稳定性和结构。实验结果与理论结果的比较证实了与能够形成氢键的客体分子可能形成多重包合物。这一发现为主体-客体配合物的形成机制提供了新的见解,并表明在这种情况下疏水相互作用起次要作用。图形摘要 通过差示扫描量热法、红外光谱和分子模拟研究了β-环糊精与选定的正构烷烃、多环芳烃和有机酸在无水环境中的配合物形成。所得结果证实了与能够形成氢键的客体分子可能形成多重包合物,并为主体-客体配合物的形成机制提供了新的视角。

https://cdn.ncbi.nlm.nih.gov/pmc/blobs/b2df/4982878/693256b695f6/894_2016_3061_Figa_HTML.jpg

文献AI研究员

20分钟写一篇综述,助力文献阅读效率提升50倍。

立即体验

用中文搜PubMed

大模型驱动的PubMed中文搜索引擎

马上搜索

文档翻译

学术文献翻译模型,支持多种主流文档格式。

立即体验