Mulvenna Paula, Nankivell Matthew, Barton Rachael, Faivre-Finn Corinne, Wilson Paula, McColl Elaine, Moore Barbara, Brisbane Iona, Ardron David, Holt Tanya, Morgan Sally, Lee Caroline, Waite Kathryn, Bayman Neil, Pugh Cheryl, Sydes Benjamin, Stephens Richard, Parmar Mahesh K, Langley Ruth E
Northern Centre for Cancer Care, Newcastle Hospitals NHS Foundation Trust, Newcastle upon Tyne, UK.
Medical Research Council Clinical Trials Unit at University College London, London, UK.
Lancet. 2016 Oct 22;388(10055):2004-2014. doi: 10.1016/S0140-6736(16)30825-X. Epub 2016 Sep 4.
Whole brain radiotherapy (WBRT) and dexamethasone are widely used to treat brain metastases from non-small cell lung cancer (NSCLC), although there have been no randomised clinical trials showing that WBRT improves either quality of life or overall survival. Even after treatment with WBRT, the prognosis of this patient group is poor. We aimed to establish whether WBRT could be omitted without a significant effect on survival or quality of life.
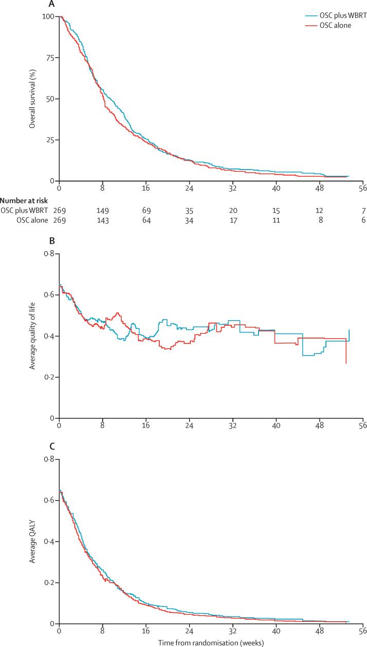
The Quality of Life after Treatment for Brain Metastases (QUARTZ) study is a non-inferiority, phase 3 randomised trial done at 69 UK and three Australian centres. NSCLC patients with brain metastases unsuitable for surgical resection or stereotactic radiotherapy were randomly assigned (1:1) to optimal supportive care (OSC) including dexamethasone plus WBRT (20 Gy in five daily fractions) or OSC alone (including dexamethasone). The dose of dexamethasone was determined by the patients' symptoms and titrated downwards if symptoms improved. Allocation to treatment group was done by a phone call from the hospital to the Medical Research Council Clinical Trials Unit at University College London using a minimisation programme with a random element and stratification by centre, Karnofsky Performance Status (KPS), gender, status of brain metastases, and the status of primary lung cancer. The primary outcome measure was quality-adjusted life-years (QALYs). QALYs were generated from overall survival and patients' weekly completion of the EQ-5D questionnaire. Treatment with OSC alone was considered non-inferior if it was no more than 7 QALY days worse than treatment with WBRT plus OSC, which required 534 patients (80% power, 5% [one-sided] significance level). Analysis was done by intention to treat for all randomly assigned patients. The trial is registered with ISRCTN, number ISRCTN3826061.
Between March 2, 2007, and Aug 29, 2014, 538 patients were recruited from 69 UK and three Australian centres, and were randomly assigned to receive either OSC plus WBRT (269) or OSC alone (269). Baseline characteristics were balanced between groups, and the median age of participants was 66 years (range 38-85). Significantly more episodes of drowsiness, hair loss, nausea, and dry or itchy scalp were reported while patients were receiving WBRT, although there was no evidence of a difference in the rate of serious adverse events between the two groups. There was no evidence of a difference in overall survival (hazard ratio 1·06, 95% CI 0·90-1·26), overall quality of life, or dexamethasone use between the two groups. The difference between the mean QALYs was 4·7 days (46·4 QALY days for the OSC plus WBRT group vs 41·7 QALY days for the OSC group), with two-sided 90% CI of -12·7 to 3·3.
Although the primary outcome measure result includes the prespecified non-inferiority margin, the combination of the small difference in QALYs and the absence of a difference in survival and quality of life between the two groups suggests that WBRT provides little additional clinically significant benefit for this patient group.
Cancer Research UK, Medical Research Council Clinical Trials Unit at University College London, and the National Health and Medical Research Council in Australia.
全脑放疗(WBRT)和地塞米松被广泛用于治疗非小细胞肺癌(NSCLC)脑转移,尽管尚无随机临床试验表明WBRT能改善生活质量或总生存期。即使接受了WBRT治疗,该患者群体的预后仍很差。我们旨在确定是否可以省略WBRT而不对生存期或生活质量产生显著影响。
脑转移瘤治疗后生活质量(QUARTZ)研究是一项在英国69个中心和澳大利亚3个中心进行的非劣效性3期随机试验。不适合手术切除或立体定向放疗的NSCLC脑转移患者被随机分配(1:1)至最佳支持治疗(OSC),包括地塞米松加WBRT(20 Gy,分5次每日给予)或单纯OSC(包括地塞米松)。地塞米松的剂量根据患者症状确定,若症状改善则逐渐减量。通过医院致电伦敦大学学院医学研究理事会临床试验单位进行治疗组分配,采用带有随机因素的最小化程序,并按中心、卡氏功能状态(KPS)、性别、脑转移状态和原发性肺癌状态进行分层。主要结局指标为质量调整生命年(QALYs)。QALYs由总生存期和患者每周完成的EQ-5D问卷生成。若单纯OSC治疗比WBRT加OSC治疗的QALY天数差不超过7天,则认为单纯OSC治疗非劣效,这需要534例患者(检验效能80%,单侧显著性水平5%)。对所有随机分配的患者按意向性分析进行分析。该试验已在国际标准随机对照试验编号注册库(ISRCTN)注册,编号为ISRCTN3826061。
2007年3月2日至2014年8月29日期间,从英国69个中心和澳大利亚3个中心招募了538例患者,随机分配接受OSC加WBRT(269例)或单纯OSC(269例)。两组间基线特征均衡,参与者的中位年龄为66岁(范围38 - 85岁)。在患者接受WBRT期间,嗜睡、脱发、恶心以及头皮干燥或瘙痒的发作明显更多,尽管两组间严重不良事件发生率无差异证据。两组间总生存期(风险比1.06,95%CI 0.90 - 1.26)、总体生活质量或地塞米松使用情况均无差异证据。平均QALYs的差异为4.7天(OSC加WBRT组为46.4 QALY天,OSC组为41.7 QALY天),双侧90%CI为 - 12.7至3.3。
尽管主要结局指标结果包括预设的非劣效界值,但QALYs的微小差异以及两组间生存期和生活质量无差异表明,WBRT给该患者群体带来的额外临床显著益处不大。
英国癌症研究中心、伦敦大学学院医学研究理事会临床试验单位以及澳大利亚国家卫生与医学研究理事会。