Suppr超能文献

用于评估川崎病患儿左冠状动脉的新型超声心动图指标。

Novel Echocardiographic Indices for Assessing the Left Main Coronary Artery in Children With Kawasaki Disease.

作者信息

Malakan Rad Elaheh, Malekzadeh Iran, Ziaee Vahid, Rajabi Raheleh, Shahabi Zohreh

机构信息

Department of Pediatrics, Tehran University of Medical Sciences, Tehran, IR Iran; Children's Medical Center, Pediatric Center of Excellence, Tehran, IR Iran.

Department of Pediatrics, Tehran University of Medical Sciences, Tehran, IR Iran; Children's Medical Center, Pediatric Center of Excellence, Tehran, IR Iran; Pediatric Rheumatology Research Group, Rheumatology Research Center, Tehran University of Medical Sciences, Tehran, IR Iran.

出版信息

Iran J Pediatr. 2016 Aug 1;26(4):e6189. doi: 10.5812/ijp.6189. eCollection 2016 Aug.

Abstract

BACKGROUND

Kawasaki disease (KD) is the most common cause of acquired myocardial infarction in children. Coronary artery involvement is the most serious feature of this vasculitis syndrome. Timely diagnosis of coronary artery involvement is of utmost importance since it can prevent long-term morbidity and mortality. The current methods for the diagnosis of coronary artery dilation in KD are inconsistent and are also not capable of detecting all the abnormal coronary arteries or the so-called occult dilations present.

OBJECTIVES

The aim of this study was to determine the sensitivity and specificity of three novel allometric indices for the diagnosis of left main coronary artery (LMCA) involvement in KD.

METHODS

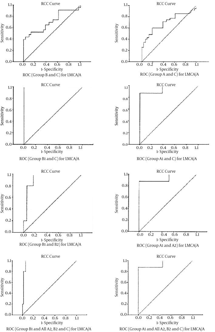
We performed a prospective case-control study in 69 children (38 with KD and 31 healthy children). All the followed up patients underwent two complete echocardiographic examinations at the time of admission and 4 - 6 weeks later. We measured the size of the LMCA, coronary sinus (CS) and aorta (A) and calculated the LMCA/CS, LMCA/A and LMCA/CS/A ratios. We also calculated the cut-off scores for each index using receiver operating characteristic curves both in the acute phase and 4 - 6 weeks later.

RESULTS

In the acute phase, the cut-off scores for the LMCA/A ratio was > 0.23; LMCA/CS, > 0.44; and LMCA/CS/A, > 0.03. This implied 60% sensitivity and 80% specificity for the detection of abnormal LMCA in KD. Four to six weeks after the acute phase, the LMCA/A cut-off score was > 0.23; LMCA/CS, > 0.73; and LMCA/CS/A, > 0.73. This implied 100% sensitivity and 100% specificity for the detection of abnormal LMCA. There was a significant decrease in the size of the CS in comparison with the control group (1.92 ± 0.363 mm; P = 0.007 and 0.023).

CONCLUSIONS

The LMCA/A, LMCA/CS and LMCA/CS/A ratios seem to provide simple and patient-specific indices for the detection of abnormal LMCA in KD, both in the acute and subacute phase. Further, a decrease in the size of the CS may imply a decrease in coronary artery flow in the acute and subacute phases of KD.

摘要

背景

川崎病(KD)是儿童后天性心肌梗死最常见的病因。冠状动脉受累是这种血管炎综合征最严重的特征。及时诊断冠状动脉受累至关重要,因为它可以预防长期的发病和死亡。目前KD中冠状动脉扩张的诊断方法不一致,也无法检测到所有异常冠状动脉或所谓的隐匿性扩张。

目的

本研究的目的是确定三种新型异速生长指数对KD中左主干冠状动脉(LMCA)受累诊断的敏感性和特异性。

方法

我们对69名儿童(38名KD患儿和31名健康儿童)进行了一项前瞻性病例对照研究。所有随访患者在入院时和4 - 6周后均接受了两次完整的超声心动图检查。我们测量了LMCA、冠状窦(CS)和主动脉(A)的大小,并计算了LMCA/CS、LMCA/A和LMCA/CS/A比值。我们还使用受试者工作特征曲线计算了急性期和4 - 6周后每个指数的截断分数。

结果

在急性期,LMCA/A比值的截断分数> 0.23;LMCA/CS,> 0.44;LMCA/CS/A,> 0.03。这意味着检测KD中异常LMCA的敏感性为60%,特异性为80%。急性期后4至6周,LMCA/A截断分数> 0.23;LMCA/CS,> 0.73;LMCA/CS/A,> 0.73。这意味着检测异常LMCA的敏感性和特异性均为100%。与对照组相比,CS的大小显著减小(1.92±0.363 mm;P = 0.007和0.023)。

结论

LMCA/A、LMCA/CS和LMCA/CS/A比值似乎为KD急性期和亚急性期检测异常LMCA提供了简单且针对个体的指标。此外,CS大小的减小可能意味着KD急性期和亚急性期冠状动脉血流减少。

https://cdn.ncbi.nlm.nih.gov/pmc/blobs/78de/5056600/f7d51c92eafe/ijp-26-04-6189-g001.jpg

文献检索

告别复杂PubMed语法,用中文像聊天一样搜索,搜遍4000万医学文献。AI智能推荐,让科研检索更轻松。

立即免费搜索

文件翻译

保留排版,准确专业,支持PDF/Word/PPT等文件格式,支持 12+语言互译。

免费翻译文档

深度研究

AI帮你快速写综述,25分钟生成高质量综述,智能提取关键信息,辅助科研写作。

立即免费体验