Suppr超能文献

水杨酸盐、鲱鱼油、水杨酸盐与鲱鱼油组合或Resolvin D1对C57Bl/6J 1型糖尿病小鼠神经病变终点的治疗效果。

Effect of Treatment with Salsalate, Menhaden Oil, Combination of Salsalate and Menhaden Oil, or Resolvin D1 of C57Bl/6J Type 1 Diabetic Mouse on Neuropathic Endpoints.

作者信息

Yorek Matthew S, Coppey Lawrence J, Shevalye Hanna, Obrosov Alexander, Kardon Randy H, Yorek Mark A

机构信息

Department of Veterans Affairs Iowa City VA Health Care System, Iowa City, IA 52246, USA; Veterans Affairs Center for the Prevention and Treatment of Visual Loss, Iowa City, IA 52246, USA.

Department of Internal Medicine, University of Iowa, Iowa City, IA 52242, USA.

出版信息

J Nutr Metab. 2016;2016:5905891. doi: 10.1155/2016/5905891. Epub 2016 Sep 28.

Abstract

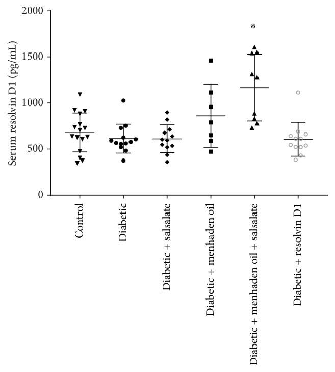
. In this study a streptozotocin induced type 1 diabetes mouse model was used to assess the effectiveness of salsalate, menhaden oil, the combination of salsalate and menhaden oil, or resolvin D1 on neuropathic endpoints. . Changes in body weight, blood glucose, serum markers for triglycerides, free fatty acids, cholesterol, and resolvin D1, motor and sensory nerve conduction velocities and thermal sensitivity were assessed, as well as performing in vivo confocal microscopy of subepithelial corneal nerves and immunohistochemistry of nerves in the cornea and foot pad. . Diabetic animals failed to gain weight and had elevated blood glucose levels. Diabetic mice had slowed nerve conduction velocity, reduced innervation of the foot pad and cornea subepithelial and epithelial layers, and reduced thermal sensitivity. Monotherapy treatment with salsalate, menhaden oil, and resolvin D1 reduced the pathological signs of diabetic neuropathy. The combination of salsalate and menhaden oil also reduced signs of pathology and generated elevated plasma levels of resolvin D1 compared to other groups. . Additional studies are needed to determine whether the combination of salsalate and menhaden oil may be more efficacious than monotherapy alone for the treatment of diabetic peripheral neuropathy.

摘要

在本研究中,使用链脲佐菌素诱导的1型糖尿病小鼠模型来评估水杨酸盐、鲱鱼油、水杨酸盐与鲱鱼油的组合或消退素D1对神经病变终点的有效性。评估体重、血糖、甘油三酯、游离脂肪酸、胆固醇和消退素D1的血清标志物变化、运动和感觉神经传导速度以及热敏感性,同时对角膜上皮下神经进行体内共聚焦显微镜检查以及对角膜和脚垫中的神经进行免疫组织化学分析。糖尿病动物体重未增加且血糖水平升高。糖尿病小鼠神经传导速度减慢,脚垫和角膜上皮下及上皮层的神经支配减少,热敏感性降低。水杨酸盐、鲱鱼油和消退素D1单药治疗可减轻糖尿病神经病变的病理体征。与其他组相比,水杨酸盐和鲱鱼油的组合也减轻了病理体征并使血浆消退素D1水平升高。需要进一步研究以确定水杨酸盐和鲱鱼油的组合在治疗糖尿病周围神经病变方面是否比单药治疗更有效。

https://cdn.ncbi.nlm.nih.gov/pmc/blobs/9ef7/5059581/0cb8016d084b/JNME2016-5905891.001.jpg

文献AI研究员

20分钟写一篇综述,助力文献阅读效率提升50倍。

立即体验

用中文搜PubMed

大模型驱动的PubMed中文搜索引擎

马上搜索

文档翻译

学术文献翻译模型,支持多种主流文档格式。

立即体验