• 文献检索
  • 文档翻译
  • 深度研究
  • 学术资讯
  • Suppr Zotero 插件Zotero 插件
  • 邀请有礼
  • 套餐&价格
  • 历史记录
应用&插件
Suppr Zotero 插件Zotero 插件浏览器插件Mac 客户端Windows 客户端微信小程序
定价
高级版会员购买积分包购买API积分包
服务
文献检索文档翻译深度研究API 文档MCP 服务
关于我们
关于 Suppr公司介绍联系我们用户协议隐私条款
关注我们

Suppr 超能文献

核心技术专利:CN118964589B侵权必究
粤ICP备2023148730 号-1Suppr @ 2026

文献检索

告别复杂PubMed语法,用中文像聊天一样搜索,搜遍4000万医学文献。AI智能推荐,让科研检索更轻松。

立即免费搜索

文件翻译

保留排版,准确专业,支持PDF/Word/PPT等文件格式,支持 12+语言互译。

免费翻译文档

深度研究

AI帮你快速写综述,25分钟生成高质量综述,智能提取关键信息,辅助科研写作。

立即免费体验

与开放手术相比,腹腔镜手术可减轻术后水肿。

Laparoscopic Surgery Can Reduce Postoperative Edema Compared with Open Surgery.

作者信息

Guo Dong, Gong Jianfeng, Cao Lei, Wei Yao, Guo Zhen, Zhu Weiming

机构信息

Department of General Surgery, Jinling Hospital, Medical School of Nanjing University, No. 305 East Zhongshan Road, Nanjing 210002, China.

出版信息

Gastroenterol Res Pract. 2016;2016:5264089. doi: 10.1155/2016/5264089. Epub 2016 Sep 29.

DOI:10.1155/2016/5264089
PMID:27777583
原文链接:https://pmc.ncbi.nlm.nih.gov/articles/PMC5061971/
Abstract

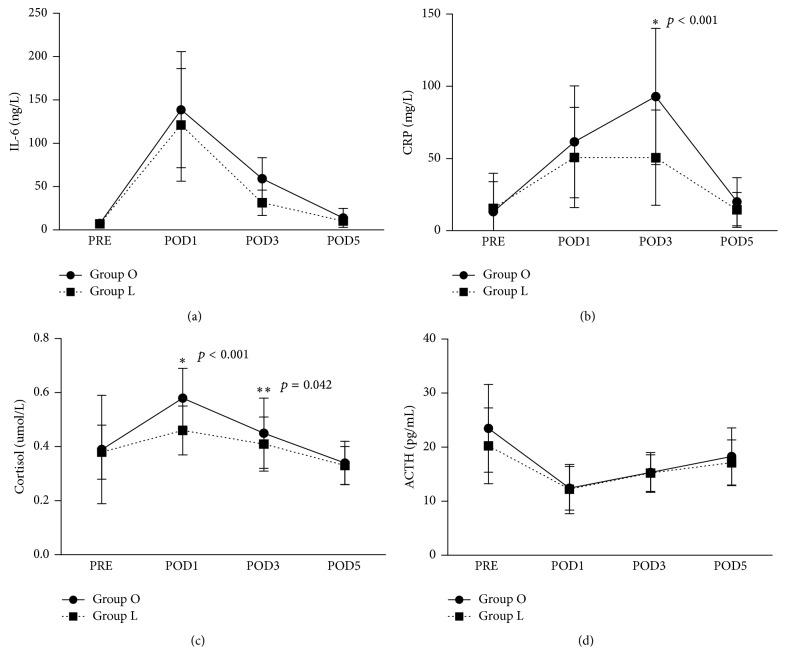
. The study aimed to investigate the impact of laparoscopic surgery and open surgery on postoperative edema in Crohn's disease. . Patients who required enterectomy were divided into open group (Group O) and laparoscopic group (Group L). Edema was measured using bioelectrical impedance analysis preoperatively (PRE) and on postoperative day 3 (POD3) and postoperative day 5 (POD5). The postoperative edema was divided into and by an edema index, defined as the ratio of total extracellular water to total body water. . Patients who underwent laparoscopic surgery had better clinical outcomes and lower levels of inflammatory and stress markers. A total of 31 patients (26.05%) developed and 53 patients (44.54%) developed on POD3. More patients developed postoperative edema in Group O than in Group L on POD3 ( = 0.006). The value of the edema index of Group O was higher than that of Group L on POD3 and POD5 (0.402 ± 0.010 versus 0.397 ± 0.008, = 0.001; 0.401 ± 0.009 versus 0.395 ± 0.007, = 0.039, resp.). . Compared with open surgery, laparoscopic surgery can reduce postoperative edema, which may contribute to the better outcomes of laparoscopic surgery over open surgery.

摘要

该研究旨在调查腹腔镜手术和开放手术对克罗恩病术后水肿的影响。需要进行肠切除术的患者被分为开放手术组(O组)和腹腔镜手术组(L组)。术前(PRE)、术后第3天(POD3)和术后第5天(POD5)使用生物电阻抗分析测量水肿情况。术后水肿根据水肿指数分为[此处原文缺失具体分类内容],水肿指数定义为细胞外液总量与总体液量的比值。接受腹腔镜手术的患者临床结局更好,炎症和应激标志物水平更低。共有31例患者(26.05%)在POD3出现[此处原文缺失具体内容],53例患者(44.54%)在POD3出现[此处原文缺失具体内容]。在POD3时,O组发生术后水肿的患者比L组更多(P = 0.006)。在POD3和POD5时,O组的水肿指数值高于L组(分别为0.402±0.010对0.397±0.008,P = 0.001;0.401±0.009对0.395±0.007,P = 0.039)。与开放手术相比,腹腔镜手术可减轻术后水肿,这可能是腹腔镜手术比开放手术结局更好的原因。

https://cdn.ncbi.nlm.nih.gov/pmc/blobs/2d92/5061971/636434b27070/GRP2016-5264089.002.jpg
https://cdn.ncbi.nlm.nih.gov/pmc/blobs/2d92/5061971/4e52fed4f30f/GRP2016-5264089.001.jpg
https://cdn.ncbi.nlm.nih.gov/pmc/blobs/2d92/5061971/636434b27070/GRP2016-5264089.002.jpg
https://cdn.ncbi.nlm.nih.gov/pmc/blobs/2d92/5061971/4e52fed4f30f/GRP2016-5264089.001.jpg
https://cdn.ncbi.nlm.nih.gov/pmc/blobs/2d92/5061971/636434b27070/GRP2016-5264089.002.jpg

相似文献

1
Laparoscopic Surgery Can Reduce Postoperative Edema Compared with Open Surgery.与开放手术相比,腹腔镜手术可减轻术后水肿。
Gastroenterol Res Pract. 2016;2016:5264089. doi: 10.1155/2016/5264089. Epub 2016 Sep 29.
2
Can laparoscopy reduce hospital stay in the treatment of Crohn's disease?腹腔镜检查能缩短克罗恩病治疗中的住院时间吗?
Dis Colon Rectum. 2001 Nov;44(11):1661-6. doi: 10.1007/BF02234387.
3
Granulocyte elastase and systemic cytokine response after laparoscopic-assisted and open resections in Crohn's disease.克罗恩病患者腹腔镜辅助手术与开放手术后的粒细胞弹性蛋白酶及全身细胞因子反应
Dis Colon Rectum. 1999 Nov;42(11):1480-6. doi: 10.1007/BF02235052.
4
Postoperative cell mediated immune response is better preserved after laparoscopic vs open colorectal resection in humans.在人类中,与开腹结直肠切除术相比,腹腔镜结直肠切除术后细胞介导的免疫反应能得到更好的保留。
Surg Endosc. 2003 Jun;17(6):972-8. doi: 10.1007/s00464-001-8263-y. Epub 2003 Mar 19.
5
Postoperative serum concentrations of high mobility group box chromosomal protein-1 correlates to the duration of SIRS and pulmonary dysfunction following gastrointestinal surgery.胃肠道手术后高迁移率族蛋白 B1 的血清浓度与 SIRS 持续时间和肺功能障碍相关。
J Surg Res. 2011 Sep;170(1):e135-40. doi: 10.1016/j.jss.2011.04.040. Epub 2011 May 18.
6
Advantages of laparoscopic resection for ileocecal Crohn's disease.腹腔镜切除治疗回盲部克罗恩病的优势。
Dis Colon Rectum. 2002 May;45(5):605-10. doi: 10.1007/s10350-004-6253-6.
7
Short-term quality of life in patients undergoing colonic surgery using enhanced recovery after surgery program versus conventional perioperative management.采用术后加速康复方案与传统围手术期管理的结肠手术患者的短期生活质量
Qual Life Res. 2015 Nov;24(11):2663-70. doi: 10.1007/s11136-015-0996-5. Epub 2015 May 24.
8
Laparoscopic versus open bowel resection for Crohn's disease.克罗恩病的腹腔镜与开腹肠切除术
Can J Gastroenterol. 2001 Apr;15(4):237-42. doi: 10.1155/2001/814749.
9
Laparoscopic-assisted versus conventional ileocolectomy for primary Crohn's disease: results of a comparative study.腹腔镜辅助与传统回肠结肠切除术治疗原发性克罗恩病的比较研究结果。
J Visc Surg. 2013 Apr;150(2):137-43. doi: 10.1016/j.jviscsurg.2012.10.006. Epub 2012 Oct 23.
10
Risk and early predictive factors of anastomotic leakage in laparoscopic low anterior resection for rectal cancer.腹腔镜低位前切除术治疗直肠癌吻合口漏的风险和早期预测因素。
World J Surg Oncol. 2019 Nov 2;17(1):178. doi: 10.1186/s12957-019-1716-3.

引用本文的文献

1
Risk Factors and Patient Outcomes Associated With Immediate Post-operative Anasarca Following Major Abdominal Surgeries: A Prospective Observational Study From 2019 to 2021.腹部大手术后立即出现全身性水肿的危险因素及患者预后:一项2019年至2021年的前瞻性观察研究
Cureus. 2021 Dec 23;13(12):e20631. doi: 10.7759/cureus.20631. eCollection 2021 Dec.
2
Application of an early oral feeding protocol after pylorus-preserving pancreaticoduodenectomy.保留幽门胰十二指肠切除术后早期口服喂养方案的应用。
Support Care Cancer. 2019 Mar;27(3):981-990. doi: 10.1007/s00520-018-4387-7. Epub 2018 Aug 15.

本文引用的文献

1
Risk Factors and Incidence of Macular Edema after Cataract Surgery: A Database Study of 81984 Eyes.白内障手术后黄斑水肿的风险因素和发生率:81984 只眼的数据库研究。
Ophthalmology. 2016 Feb;123(2):316-323. doi: 10.1016/j.ophtha.2015.10.001. Epub 2015 Dec 8.
2
A Practical Predictive Index for Intra-abdominal Septic Complications After Primary Anastomosis for Crohn's Disease: Change in C-Reactive Protein Level Before Surgery.克罗恩病一期吻合术后腹腔感染并发症的实用预测指标:术前C反应蛋白水平的变化
Dis Colon Rectum. 2015 Aug;58(8):775-81. doi: 10.1097/DCR.0000000000000414.
3
The impact of fluid intervention on complications and length of hospital stay after pancreaticoduodenectomy (Whipple's procedure).
液体干预对胰十二指肠切除术(惠普尔手术)后并发症及住院时间的影响。
BMC Anesthesiol. 2014 May 14;14:35. doi: 10.1186/1471-2253-14-35. eCollection 2014.
4
Impact of Disease Activity on Resting Energy Expenditure and Body Composition in Adult Crohn's Disease: A Prospective Longitudinal Assessment.疾病活动对成年克罗恩病静息能量消耗和身体成分的影响:一项前瞻性纵向评估
JPEN J Parenter Enteral Nutr. 2015 Aug;39(6):713-8. doi: 10.1177/0148607114528360. Epub 2014 Mar 25.
5
Restricted intravenous fluid regimen reduces fluid redistribution of patients operated for abdominal malignancy.限制静脉输液方案可减少腹部恶性肿瘤手术患者的液体再分布。
Hepatogastroenterology. 2013 Oct;60(127):1653-9.
6
Body water distribution and risk of cardiovascular morbidity and mortality in a healthy population: a prospective cohort study.健康人群的身体水分分布与心血管疾病发病及死亡风险:一项前瞻性队列研究
PLoS One. 2014 Feb 3;9(2):e87466. doi: 10.1371/journal.pone.0087466. eCollection 2014.
7
Laparoscopy in Crohn's disease.腹腔镜在克罗恩病中的应用。
Best Pract Res Clin Gastroenterol. 2014 Feb;28(1):183-94. doi: 10.1016/j.bpg.2013.11.004. Epub 2013 Dec 1.
8
Validity of bioelectrical impedance analysis for measuring changes in body water and percent fat after bariatric surgery.生物电阻抗分析在测量减肥手术后身体水分和脂肪百分比变化方面的有效性。
Obes Surg. 2014 Jun;24(6):847-54. doi: 10.1007/s11695-014-1182-5.
9
Oedema is associated with clinical outcome following emergency abdominal surgery.水肿与急诊腹部手术后的临床结局相关。
Ann R Coll Surg Engl. 2013 Sep;95(6):390-6. doi: 10.1308/003588413X13629960046552.
10
The surgically induced stress response.手术诱发的应激反应。
JPEN J Parenter Enteral Nutr. 2013 Sep;37(5 Suppl):21S-9S. doi: 10.1177/0148607113496117.