Suppr超能文献

利用主动和被动光谱近感技术对小地块中单排或少数排种植的小麦和大麦植株进行高通量表型分析。

High-Throughput Phenotyping of Wheat and Barley Plants Grown in Single or Few Rows in Small Plots Using Active and Passive Spectral Proximal Sensing.

作者信息

Barmeier Gero, Schmidhalter Urs

机构信息

Chair of Plant Nutrition, Department of Plant Sciences, Technical University of Munich, Emil-Ramann-Str. 2, Freising 85354, Germany.

出版信息

Sensors (Basel). 2016 Nov 5;16(11):1860. doi: 10.3390/s16111860.

Abstract

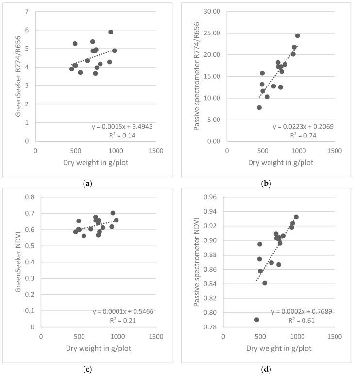
In the early stages of plant breeding, breeders evaluate a large number of varieties. Due to limited availability of seeds and space, plot sizes may range from one to four rows. Spectral proximal sensors can be used in place of labour-intensive methods to estimate specific plant traits. The aim of this study was to test the performance of active and passive sensing to assess single and multiple rows in a breeding nursery. A field trial with single cultivars of winter barley and winter wheat with four plot designs (single-row, wide double-row, three rows, and four rows) was conducted. A GreenSeeker RT100 and a passive bi-directional spectrometer were used to assess biomass fresh and dry weight, as well as aboveground nitrogen content and uptake. Generally, spectral passive sensing and active sensing performed comparably in both crops. Spectral passive sensing was enhanced by the availability of optimized ratio vegetation indices, as well as by an optimized field of view and by reduced distance dependence. Further improvements of both sensors in detecting the performance of plants in single rows can likely be obtained by optimization of sensor positioning or orientation. The results suggest that even in early selection cycles, enhanced high-throughput phenotyping might be able to assess plant performance within plots comprising single or multiple rows. This method has significant potential for advanced breeding.

摘要

在植物育种的早期阶段,育种者会评估大量品种。由于种子和空间的可用性有限,试验地的行数可能从一行到四行不等。光谱近端传感器可用于替代劳动密集型方法来估计特定的植物性状。本研究的目的是测试主动和被动传感在育种苗圃中评估单行和多行的性能。进行了一项田间试验,种植冬大麦和冬小麦的单一品种,采用四种试验地设计(单行、宽双行、三行和四行)。使用GreenSeeker RT100和被动双向光谱仪来评估生物量鲜重和干重,以及地上部氮含量和吸收量。一般来说,光谱被动传感和主动传感在两种作物中的表现相当。优化的比值植被指数、优化的视场和降低的距离依赖性提高了光谱被动传感的性能。通过优化传感器的定位或方向,可能会进一步提高两种传感器检测单行植物性能的能力。结果表明,即使在早期选择周期,增强的高通量表型分析也能够评估包含单行或多行的试验地内的植物性能。这种方法在先进育种方面具有巨大潜力。

https://cdn.ncbi.nlm.nih.gov/pmc/blobs/ad35/5134519/3a33e23700f7/sensors-16-01860-g001.jpg

文献AI研究员

20分钟写一篇综述,助力文献阅读效率提升50倍。

立即体验

用中文搜PubMed

大模型驱动的PubMed中文搜索引擎

马上搜索

文档翻译

学术文献翻译模型,支持多种主流文档格式。

立即体验