Zarei Fatah, Alipanah Hiva
Department of Zoology, Faculty of Biological Sciences, Shahid Beheshti University, Tehran, Iran.
Mol Biol Res Commun. 2014 Mar;3(1):45-65.
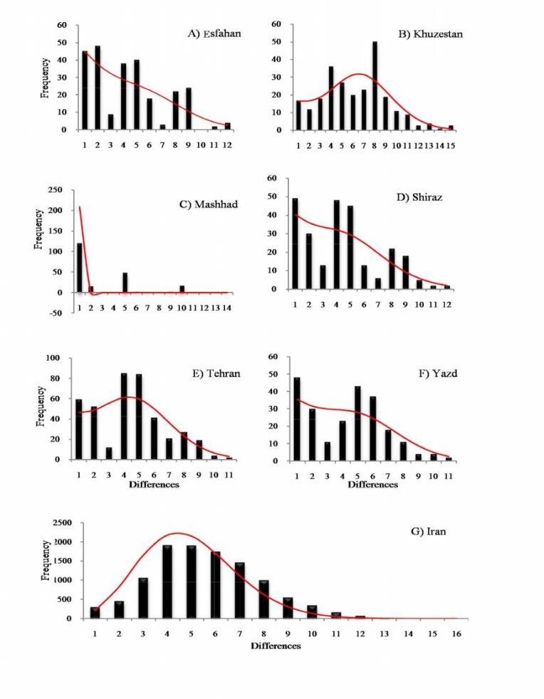
In order to survey the evolutionary history and impact of historical events on the genetic structure of Iranian people, the HV2 region of 141 mtDNA sequences related to six Iranian populations were analyzed. Slight and non-significant F distances among the Central-western Persian speaking populations of Iran testify to the common origin of these populations from one proto-population. Mismatch distribution suggests that this proto-Iranian population started to colonize Iran about 30000 years ago which is almost consistent with the timing of arrival and colonization of western Asia by the anatomically modern human. Star-like haplotype network structures, significant and negative Tajima's D (D=-2.08, P<0.05) and unimodal mismatch distributions support the genetic effects of this expansion. Iranian populations presented mtDNA lineages that clearly belong to the European gene pool (i.e. H and U), while the Mashhad population was characterized by the presence of eastern and central Asian mtDNA lineages (i.e. M, B and D). Furthermore, the low diversity (=0.428) observed in Mashhad may indicated the presence of inbreeding, drift or bottleneck events. The application of Monmonier's maximum differences algorithm revealed a geographic zone of genetic discontinuity between the Arab people of Khuzestan and rest of Iranian populations. Geographical factors, in cooperation with cultural/linguistic differences, are the main reasons for this differentiation. The lack of a sharp geographical or ethno-linguistic structure for mtDNA HV2 sequence diversity was statistically supported by AMOVA and Mantel (r=0.19, P<0.05) tests.
为了探究伊朗人群的进化历史以及历史事件对其基因结构的影响,我们分析了与六个伊朗人群相关的141个线粒体DNA(mtDNA)序列的HV2区域。伊朗中西部说波斯语的人群之间F距离微小且不显著,这证明了这些人群源自同一个原始人群。失配分布表明,这个原始伊朗人群大约在3万年前开始在伊朗殖民,这与解剖学上的现代人类抵达和殖民西亚的时间大致相符。星状单倍型网络结构、显著且为负的Tajima's D值(D = -2.08,P < 0.05)以及单峰失配分布支持了这种扩张的遗传效应。伊朗人群呈现出明显属于欧洲基因库的线粒体DNA谱系(即H和U),而马什哈德人群的特征是存在东亚和中亚的线粒体DNA谱系(即M、B和D)。此外,在马什哈德观察到的低多样性(= 0.428)可能表明存在近亲繁殖、基因漂变或瓶颈事件。应用蒙莫尼尔最大差异算法揭示了胡齐斯坦阿拉伯人与其他伊朗人群之间存在遗传不连续的地理区域。地理因素与文化/语言差异共同作用,是造成这种分化的主要原因。AMOVA和曼特尔检验(r = 0.19,P < 0.05)从统计学上支持了mtDNA HV2序列多样性缺乏明显地理或民族语言结构这一观点。