Suppr超能文献

植物病原细菌疮痂链霉菌对马铃薯木栓质降解的物理、化学和蛋白质组学证据

Physical, Chemical and Proteomic Evidence of Potato Suberin Degradation by the Plant Pathogenic Bacterium Streptomyces scabiei.

作者信息

Beaulieu Carole, Sidibé Amadou, Jabloune Raoudha, Simao-Beaunoir Anne-Marie, Lerat Sylvain, Monga Ernest, Bernards Mark A

机构信息

Centre SÈVE, Département de Biologie, Université de Sherbrooke.

出版信息

Microbes Environ. 2016 Dec 23;31(4):427-434. doi: 10.1264/jsme2.ME16110. Epub 2016 Nov 17.

Abstract

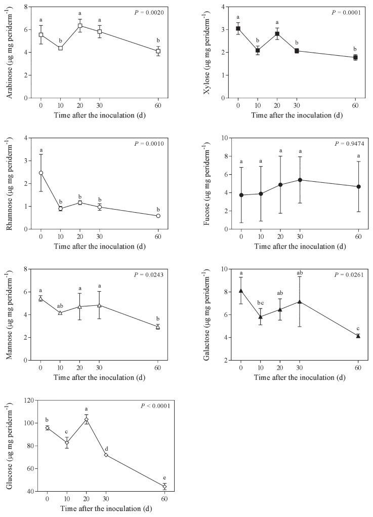
Potato peels consist of a tissue called phellem, which is formed by suberized cell layers. The degradation of suberin, a lipidic and recalcitrant polymer, is an ecological process attributed to soil fungal populations; however, previous studies have suggested that Streptomyces scabiei, the causal agent of potato common scab, possesses the ability to degrade suberin. In the present study, S. scabiei was grown in medium containing suberin-enriched potato phellem as the sole carbon source and its secretome was analyzed periodically (10- to 60-d-old cultures) with a special focus on proteins potentially involved in cell wall degradation. Although the amount and diversity of proteins linked to polysaccharide degradation remained high throughout the experiment, their abundance decreased over time. In contrast, proteins dedicated to lipid metabolism represented a small fraction of the secretome; however, their abundance increased during the experiment. The lipolytic enzymes detected may be involved in the degradation of the aliphatic fraction of suberin because the results of optical and transmission electron microscopy examinations revealed a loss in the integrity of suberized tissues exposed to S. scabiei cells. Chemical analyses identified a time period in which the concentration of aliphatic compounds in potato phellem decreased and the sugar concentration increased; at the end of the 60-d incubation period, the sugar concentration in potato phellem was significantly reduced. This study demonstrated the ability of S. scabiei to degrade the aliphatic portion of suberin.

摘要

土豆皮由一种叫做木栓的组织构成,木栓由栓化的细胞层形成。木栓质是一种脂质且难降解的聚合物,其降解是一个归因于土壤真菌种群的生态过程;然而,先前的研究表明,马铃薯疮痂病的病原菌疮痂链霉菌具有降解木栓质的能力。在本研究中,将疮痂链霉菌在含有富含木栓质的土豆皮作为唯一碳源的培养基中培养,并定期(培养10至60天)分析其分泌组,特别关注可能参与细胞壁降解的蛋白质。尽管在整个实验过程中与多糖降解相关的蛋白质数量和种类仍然很多,但其丰度随时间下降。相比之下,专门参与脂质代谢的蛋白质在分泌组中占比很小;然而,它们的丰度在实验过程中有所增加。检测到的脂解酶可能参与了木栓质脂肪族部分的降解,因为光学显微镜和透射电子显微镜检查结果显示,暴露于疮痂链霉菌细胞的栓化组织完整性丧失。化学分析确定了一个时间段,在此期间土豆皮中脂肪族化合物的浓度下降而糖浓度增加;在60天培养期结束时,土豆皮中的糖浓度显著降低。本研究证明了疮痂链霉菌降解木栓质脂肪族部分的能力。

https://cdn.ncbi.nlm.nih.gov/pmc/blobs/8a45/5158115/f89804e28b28/31_427_1.jpg

文献检索

告别复杂PubMed语法,用中文像聊天一样搜索,搜遍4000万医学文献。AI智能推荐,让科研检索更轻松。

立即免费搜索

文件翻译

保留排版,准确专业,支持PDF/Word/PPT等文件格式,支持 12+语言互译。

免费翻译文档

深度研究

AI帮你快速写综述,25分钟生成高质量综述,智能提取关键信息,辅助科研写作。

立即免费体验