Suppr超能文献

鼻内注射铬可导致大鼠急性脑和肺损伤:评估环境和职业接触铬的不同潜在危害,并引入一种新型药理和毒理学动物模型。

Intranasal Chromium Induces Acute Brain and Lung Injuries in Rats: Assessment of Different Potential Hazardous Effects of Environmental and Occupational Exposure to Chromium and Introduction of a Novel Pharmacological and Toxicological Animal Model.

作者信息

Salama Abeer, Hegazy Rehab, Hassan Azza

机构信息

Pharmacology Department, Medical Division, National Research Centre, Giza, Egypt.

Pathology Department, Faculty of Veterinary Medicine, Cairo University, Giza, Egypt.

出版信息

PLoS One. 2016 Dec 20;11(12):e0168688. doi: 10.1371/journal.pone.0168688. eCollection 2016.

Abstract

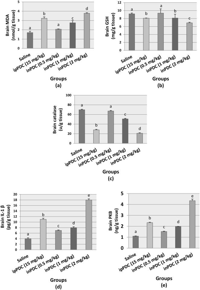
Chromium (Cr) is used in many industries and it is widely distributed in the environment. Exposure to Cr dust has been reported among workers at these industries. Beside its hazardous effects on the lungs, brain injury could be induced, as the absorption of substances through the nasal membrane has been found to provide them a direct delivery to the brain. We investigated the distribution and the effects of Cr in both brain and lung following the intranasal instillation of potassium dichromate (inPDC) in rats. Simultaneously, we used the common intraperitoneal (ipPDC) rat model of acute Cr-toxicity for comparison. Thirty male Wistar rats were randomly allocated into five groups (n = 6); each received a single dose of saline, ipPDC (15 mg/kg), or inPDC in three dose levels: 0.5, 1, or 2 mg/kg. Locomotor activity was assessed before and 24 h after PDC administration, then, the lungs and brain were collected for biochemical, histopathological, and immunohistochemical investigations. Treatment of rats with ipPDC resulted in a recognition of 36% and 31% of the injected dose of Cr in the brain and lung tissues, respectively. In inPDC-treated rats, targeting the brain by Cr was increased in a dose-dependent manner to reach 46% of the instilled dose in the group treated with the highest dose. Moreover, only this high dose of inPDC resulted in a delivery of a significant concentration of Cr, which represented 42% of the instilled dose, to the lungs. The uppermost alteration in the rats locomotor activity as well as in the brain and lung histopathological features and contents of oxidative stress biomarkers, interleukin-1β (IL-1β), phosphorylated protein kinase B (PKB), and cyclooxygenase 2 (COX-2) were observed in the rats treated with inPDC (2 mg/kg). The findings revealed that these toxic manifestations were directly proportional to the delivered concentration of Cr to the tissue. In conclusion, the study showed that a comparably higher concentrations of Cr and more elevated levels of oxidative stress and inflammatory markers were observed in brain and lung tissues of rats subjected to inPDC in a dose that is just 0.13 that of ipPDC dose commonly used in Cr-induced toxicity studies. Therefore, the study suggests a high risk of brain-targeting injury among individuals environmentally or occupationally exposed to Cr dust, even in low doses, and an additional risk of lung injury with higher Cr concentrations. Moreover, the study introduces inPDC (2 mg/kg)-instillation as a new experimental animal model suitable to study the acute brain and lung toxicities induced by intranasal exposure to Cr compounds.

摘要

铬(Cr)在许多行业中都有应用,且在环境中广泛分布。据报道,这些行业的工人会接触到铬粉尘。除了对肺部有有害影响外,还可能导致脑损伤,因为已发现物质通过鼻黏膜吸收可直接进入大脑。我们研究了大鼠经鼻滴注重铬酸钾(inPDC)后铬在脑和肺中的分布及影响。同时,我们使用常见的腹腔注射(ipPDC)大鼠急性铬中毒模型进行比较。将30只雄性Wistar大鼠随机分为五组(n = 6);每组分别接受单剂量的生理盐水、ipPDC(15 mg/kg)或三种剂量水平(0.5、1或2 mg/kg)的inPDC。在给予PDC前和给药后24小时评估运动活动,然后收集肺和脑进行生化、组织病理学和免疫组织化学研究。用ipPDC处理的大鼠,脑和肺组织中分别识别出注射剂量36%和31%的铬。在用inPDC处理的大鼠中,铬对脑的靶向作用呈剂量依赖性增加,在最高剂量组达到滴注剂量的46%。此外,只有这个高剂量的inPDC导致相当浓度的铬输送到肺,占滴注剂量的42%。在用inPDC(2 mg/kg)处理的大鼠中,观察到运动活动、脑和肺组织病理学特征以及氧化应激生物标志物、白细胞介素-1β(IL-1β)、磷酸化蛋白激酶B(PKB)和环氧化酶2(COX-2)含量的最显著变化。研究结果表明,这些毒性表现与输送到组织中的铬浓度直接相关。总之,该研究表明,在经inPDC处理的大鼠脑和肺组织中,观察到的铬浓度相对较高,氧化应激和炎症标志物水平也更高,inPDC剂量仅为铬诱导毒性研究中常用ipPDC剂量的0.13倍。因此,该研究表明,即使是低剂量,环境或职业接触铬粉尘的个体也有较高的脑靶向损伤风险,而铬浓度较高时则有额外的肺损伤风险。此外,该研究引入经鼻滴注inPDC(2 mg/kg)作为一种新的实验动物模型,适用于研究经鼻接触铬化合物引起的急性脑和肺毒性。

https://cdn.ncbi.nlm.nih.gov/pmc/blobs/da40/5173240/ef61cc712385/pone.0168688.g001.jpg

文献AI研究员

20分钟写一篇综述,助力文献阅读效率提升50倍。

立即体验

用中文搜PubMed

大模型驱动的PubMed中文搜索引擎

马上搜索

文档翻译

学术文献翻译模型,支持多种主流文档格式。

立即体验