Suppr超能文献

八孔钢板的螺钉间角度变化与三角关节定向角度之间是否存在相关性?

Is there a correlation between the change in the interscrew angle of the eight-plate and the delta joint orientation angles?

作者信息

Marangoz Salih, Buyukdogan Kadir, Karahan Sevilay

机构信息

Koc University, School of Medicine, Department of Orthopaedics and Traumatology, Istanbul, Turkey.

Hacettepe University, Faculty of Medicine, Department of Orthopaedics and Traumatology, Ankara, Turkey.

出版信息

Acta Orthop Traumatol Turc. 2017 Jan;51(1):39-43. doi: 10.1016/j.aott.2016.05.005. Epub 2016 Dec 29.

Abstract

OBJECTIVES

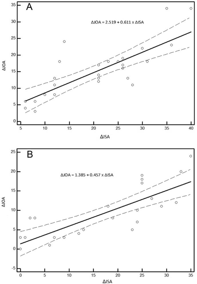
It is known that the screws of the eight-plate hemiepiphysiodesis construct diverge as growth occurs through the physis. Our objective was to investigate whether there is a correlation between the amount of change of the joint orientation angle (JOA) and that of the interscrew angle (ISA) of the eight-plate hemiepiphysiodesis construct before and after correction.

PATIENTS AND METHODS

After the institutional review board approval, medical charts and X-rays of all patients operated for either genu valgum or genu varum with eight-plate hemiepiphysiodesis were analyzed retrospectively. All consecutive patients at various ages with miscellaneous diagnoses were included. JOA and ISA were measured before and after correction. After review of the X-rays, statistical analyses were performed which included Pearson correlation coefficient and regression analyses.

RESULTS

There were 53 segments of 30 patients included in the study. Eighteen were males, and 12 were females. Mean age at surgery was 9.1 (range 3-17). Mean follow-up time was 21.5 (range, 7-46) months. The diagnoses were diverse. A strong correlation was found between the delta JOA (d-JOA) and delta ISA (d-ISA) of the eight-plate hemiepiphysiodesis construct (r = 0.759 (0.615-0.854, 95%CI), p < 0.001). This correlation was independent of the age and gender of the patient.

CONCLUSIONS

There is a strong correlation between the d-ISA and the d-JOA. The d-ISA follows the d-JOA at a predictable amount through formulas which regression analysis yielded. This study confirms the clinical observation of the diverging angle between the screws is in correlation with the correction of the JOA.

LEVEL OF EVIDENCE

Level IV, Therapeutic study.

摘要

目的

众所周知,随着生长板生长,八钢板半骨骺阻滞结构的螺钉会发散。我们的目的是研究八钢板半骨骺阻滞结构在矫正前后关节方向角(JOA)的变化量与螺钉间角度(ISA)的变化量之间是否存在相关性。

患者与方法

经机构审查委员会批准后,对所有接受八钢板半骨骺阻滞治疗膝外翻或膝内翻手术患者的病历和X线片进行回顾性分析。纳入所有不同年龄、诊断各异的连续患者。在矫正前后测量JOA和ISA。在复查X线片后,进行了包括Pearson相关系数和回归分析在内的统计分析。

结果

本研究纳入了30例患者的53个节段。男性18例,女性12例。手术时的平均年龄为9.1岁(范围3 - 17岁)。平均随访时间为21.5个月(范围7 - 46个月)。诊断多样。发现八钢板半骨骺阻滞结构的JOA变化量(d - JOA)与ISA变化量(d - ISA)之间存在强相关性(r = 0.759(0.615 - 0.854,95%CI),p < 0.001)。这种相关性与患者的年龄和性别无关。

结论

d - ISA与d - JOA之间存在强相关性。通过回归分析得出的公式,d - ISA以可预测的量跟随d - JOA变化。本研究证实了螺钉发散角度与JOA矫正相关的临床观察结果。

证据级别

四级,治疗性研究。

https://cdn.ncbi.nlm.nih.gov/pmc/blobs/00d1/6197331/0c0f2dc86757/gr1.jpg

文献检索

告别复杂PubMed语法,用中文像聊天一样搜索,搜遍4000万医学文献。AI智能推荐,让科研检索更轻松。

立即免费搜索

文件翻译

保留排版,准确专业,支持PDF/Word/PPT等文件格式,支持 12+语言互译。

免费翻译文档

深度研究

AI帮你快速写综述,25分钟生成高质量综述,智能提取关键信息,辅助科研写作。

立即免费体验