• 文献检索
  • 文档翻译
  • 深度研究
  • 学术资讯
  • Suppr Zotero 插件Zotero 插件
  • 邀请有礼
  • 套餐&价格
  • 历史记录
应用&插件
Suppr Zotero 插件Zotero 插件浏览器插件Mac 客户端Windows 客户端微信小程序
定价
高级版会员购买积分包购买API积分包
服务
文献检索文档翻译深度研究API 文档MCP 服务
关于我们
关于 Suppr公司介绍联系我们用户协议隐私条款
关注我们

Suppr 超能文献

核心技术专利:CN118964589B侵权必究
粤ICP备2023148730 号-1Suppr @ 2026

文献检索

告别复杂PubMed语法,用中文像聊天一样搜索,搜遍4000万医学文献。AI智能推荐,让科研检索更轻松。

立即免费搜索

文件翻译

保留排版,准确专业,支持PDF/Word/PPT等文件格式,支持 12+语言互译。

免费翻译文档

深度研究

AI帮你快速写综述,25分钟生成高质量综述,智能提取关键信息,辅助科研写作。

立即免费体验

尘埃演化:全球视角 一、纳米颗粒、起源、氮与自然选择…… 串连线索

Dust evolution, a global view I. Nanoparticles, nascence, nitrogen and natural selection … joining the dots.

作者信息

Jones A P

机构信息

Institut d'Astrophysique Spatiale, CNRS , Univ. Paris-Sud, Université Paris-Saclay , Bât. 121, 91405 Orsay cedex, France.

出版信息

R Soc Open Sci. 2016 Dec 14;3(12):160221. doi: 10.1098/rsos.160221. eCollection 2016 Dec.

DOI:10.1098/rsos.160221
PMID:28083088
原文链接:https://pmc.ncbi.nlm.nih.gov/articles/PMC5210670/
Abstract

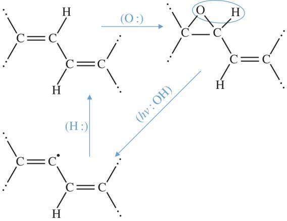
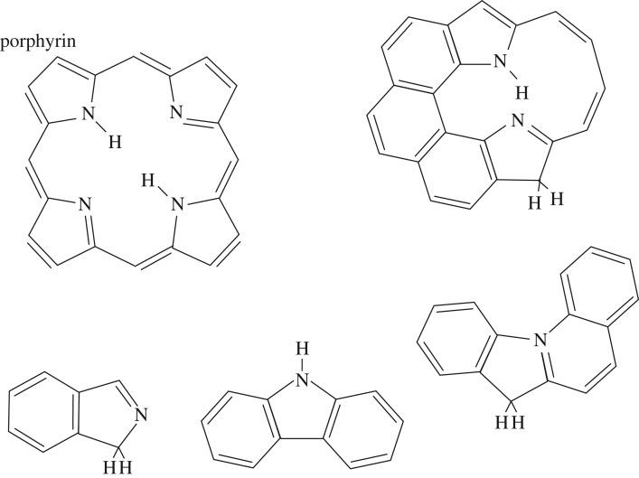
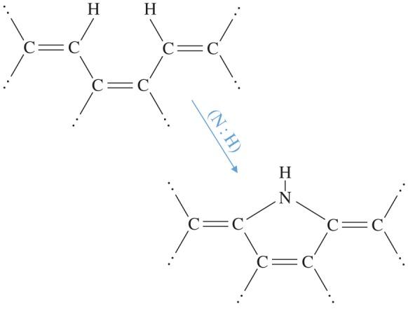
The role and importance of nanoparticles for interstellar chemistry and beyond is explored within the framework of (THEMIS), focusing on their active surface chemistry, the effects of nitrogen doping and the natural selection of interesting nanoparticle sub-structures. Nanoparticle-driven chemistry, and in particular the role of intrinsic epoxide-type structures, could provide a viable route to the observed gas phase OH in tenuous interstellar clouds en route to becoming molecular clouds. The aromatic-rich moieties present in asphaltenes probably provide a viable model for the structures present within aromatic-rich interstellar carbonaceous grains. The observed doping of such nanoparticle structures with nitrogen, if also prevalent in interstellar dust, could perhaps have important and observable consequences for surface chemistry and the formation of precursor pre-biotic species.

摘要

在(THEMIS)框架内探讨了纳米颗粒在星际化学及其他领域中的作用和重要性,重点关注其活性表面化学、氮掺杂的影响以及有趣纳米颗粒子结构的自然选择。纳米颗粒驱动的化学过程,特别是本征环氧化物型结构的作用,可能为在稀薄星际云中观测到的气相OH提供一条可行途径,这些星际云正朝着成为分子云的方向发展。沥青质中存在的富含芳烃部分可能为富含芳烃的星际碳质颗粒内的结构提供了一个可行模型。如果这种纳米颗粒结构的氮掺杂在星际尘埃中也很普遍,那么可能会对表面化学和前体益生元物种的形成产生重要且可观测的影响。

https://cdn.ncbi.nlm.nih.gov/pmc/blobs/9102/5210670/9e0b12578587/rsos160221-g5.jpg
https://cdn.ncbi.nlm.nih.gov/pmc/blobs/9102/5210670/7777cb7fd6dc/rsos160221-g1.jpg
https://cdn.ncbi.nlm.nih.gov/pmc/blobs/9102/5210670/251c02dfddf8/rsos160221-g2.jpg
https://cdn.ncbi.nlm.nih.gov/pmc/blobs/9102/5210670/e07cd74bf0fb/rsos160221-g3.jpg
https://cdn.ncbi.nlm.nih.gov/pmc/blobs/9102/5210670/1c3ad29133df/rsos160221-g4.jpg
https://cdn.ncbi.nlm.nih.gov/pmc/blobs/9102/5210670/9e0b12578587/rsos160221-g5.jpg
https://cdn.ncbi.nlm.nih.gov/pmc/blobs/9102/5210670/7777cb7fd6dc/rsos160221-g1.jpg
https://cdn.ncbi.nlm.nih.gov/pmc/blobs/9102/5210670/251c02dfddf8/rsos160221-g2.jpg
https://cdn.ncbi.nlm.nih.gov/pmc/blobs/9102/5210670/e07cd74bf0fb/rsos160221-g3.jpg
https://cdn.ncbi.nlm.nih.gov/pmc/blobs/9102/5210670/1c3ad29133df/rsos160221-g4.jpg
https://cdn.ncbi.nlm.nih.gov/pmc/blobs/9102/5210670/9e0b12578587/rsos160221-g5.jpg

相似文献

1
Dust evolution, a global view I. Nanoparticles, nascence, nitrogen and natural selection … joining the dots.尘埃演化:全球视角 一、纳米颗粒、起源、氮与自然选择…… 串连线索
R Soc Open Sci. 2016 Dec 14;3(12):160221. doi: 10.1098/rsos.160221. eCollection 2016 Dec.
2
Dust evolution, a global view: II. Top-down branching, nanoparticle fragmentation and the mystery of the diffuse interstellar band carriers.尘埃演化:全球视角II. 自上而下的分支、纳米颗粒破碎与弥漫星际带载体之谜
R Soc Open Sci. 2016 Dec 14;3(12):160223. doi: 10.1098/rsos.160223. eCollection 2016 Dec.
3
Dust evolution, a global view: III. Core/mantle grains, organic nano-globules, comets and surface chemistry.尘埃演化:全球视角之三:核/幔颗粒、有机纳米球粒、彗星与表面化学
R Soc Open Sci. 2016 Dec 14;3(12):160224. doi: 10.1098/rsos.160224. eCollection 2016 Dec.
4
Efficient surface formation route of interstellar hydroxylamine through NO hydrogenation. I. The submonolayer regime on interstellar relevant substrates.通过 NO 加氢高效制备星际羟胺的表面形成途径。I. 星际相关衬底上的亚单层体系。
J Chem Phys. 2012 Aug 7;137(5):054713. doi: 10.1063/1.4738895.
5
Chemical evolution of interstellar dust, comets and the origins of life.星际尘埃的化学演化、彗星与生命的起源
Ann Phys (Paris). 1989 Apr;14:103-31. doi: 10.1051/anphys:01989001402010300.
6
Three milieux for interstellar chemistry: gas, dust, and ice.星际化学的三个介质:气体、尘埃和冰。
Phys Chem Chem Phys. 2014 Feb 28;16(8):3344-59. doi: 10.1039/c3cp54065k.
7
Meteorite nanoparticles as models for interstellar grains: synthesis and preliminary characterisation.作为星际尘埃模型的陨石纳米颗粒:合成与初步表征
Faraday Discuss. 2006;133:103-12; discussion 191-230, 449-52. doi: 10.1039/b518207g.
8
Infrared emission spectra of candidate interstellar aromatic molecules.候选星际芳香族分子的红外发射光谱。
Nature. 1996 Mar 21;380(6571):227-9. doi: 10.1038/380227a0.
9
The cycling of carbon into and out of dust.碳在尘埃内外的循环。
Faraday Discuss. 2014;168:313-26. doi: 10.1039/c3fd00128h.
10
Silicon and Hydrogen Chemistry under Laboratory Conditions Mimicking the Atmosphere of Evolved Stars.模拟演化恒星大气的实验室条件下的硅与氢化学
Astrophys J. 2021 Jan 5;906(1). doi: 10.3847/1538-4357/abc703. eCollection 2021 Jan 1.

引用本文的文献

1
Dust in and Around the Heliosphere and Astrospheres.日球层及星际层内部和周围的尘埃。
Space Sci Rev. 2022;218(8):71. doi: 10.1007/s11214-022-00939-7. Epub 2022 Dec 6.
2
Sources of Nitrogen-, Sulfur-, and Phosphorus-Containing Feedstocks for Prebiotic Chemistry in the Planetary Environment.行星环境中用于前生物化学的含氮、硫和磷原料的来源。
Life (Basel). 2022 Aug 19;12(8):1268. doi: 10.3390/life12081268.
3
Identification and characterization of a new ensemble of cometary organic molecules.鉴定和描述一组新的彗星有机分子。

本文引用的文献

1
Dust evolution, a global view: III. Core/mantle grains, organic nano-globules, comets and surface chemistry.尘埃演化:全球视角之三:核/幔颗粒、有机纳米球粒、彗星与表面化学
R Soc Open Sci. 2016 Dec 14;3(12):160224. doi: 10.1098/rsos.160224. eCollection 2016 Dec.
2
Dust evolution, a global view: II. Top-down branching, nanoparticle fragmentation and the mystery of the diffuse interstellar band carriers.尘埃演化:全球视角II. 自上而下的分支、纳米颗粒破碎与弥漫星际带载体之谜
R Soc Open Sci. 2016 Dec 14;3(12):160223. doi: 10.1098/rsos.160223. eCollection 2016 Dec.
3
molecular photoswitching in interstellar Space.
Nat Commun. 2022 Jun 25;13(1):3639. doi: 10.1038/s41467-022-31346-9.
4
Dust evolution, a global view: III. Core/mantle grains, organic nano-globules, comets and surface chemistry.尘埃演化:全球视角之三:核/幔颗粒、有机纳米球粒、彗星与表面化学
R Soc Open Sci. 2016 Dec 14;3(12):160224. doi: 10.1098/rsos.160224. eCollection 2016 Dec.
5
Dust evolution, a global view: II. Top-down branching, nanoparticle fragmentation and the mystery of the diffuse interstellar band carriers.尘埃演化:全球视角II. 自上而下的分支、纳米颗粒破碎与弥漫星际带载体之谜
R Soc Open Sci. 2016 Dec 14;3(12):160223. doi: 10.1098/rsos.160223. eCollection 2016 Dec.
星际空间中的分子光开关
Astron Astrophys. 2016 Dec;596. doi: 10.1051/0004-6361/201629913. Epub 2016 Nov 22.
4
Molecular Dynamics Simulation Study of Chlorophyll a in Different Organic Solvents.不同有机溶剂中叶绿素a的分子动力学模拟研究
J Chem Theory Comput. 2011 Apr 12;7(4):1131-40. doi: 10.1021/ct1004627. Epub 2011 Feb 24.
5
[Not Available].[无可用内容]
J Phys Chem Lett. 2014 Dec 4;5(23):4078-82. doi: 10.1021/jz502100z. Epub 2014 Nov 14.
6
Unraveling the Molecular Structures of Asphaltenes by Atomic Force Microscopy.利用原子力显微镜解析沥青质的分子结构。
J Am Chem Soc. 2015 Aug 12;137(31):9870-6. doi: 10.1021/jacs.5b04056. Epub 2015 Jul 30.
7
The cycling of carbon into and out of dust.碳在尘埃内外的循环。
Faraday Discuss. 2014;168:313-26. doi: 10.1039/c3fd00128h.
8
Interstellar dust. Evidence for interstellar origin of seven dust particles collected by the Stardust spacecraft.星际尘埃。“星尘”号飞船采集的 7 个尘埃颗粒具有星际起源的证据。
Science. 2014 Aug 15;345(6198):786-91. doi: 10.1126/science.1252496.
9
Cooling dynamics of photoexcited C6(-) and C6H(-).光激发的 C6(-)和 C6H(-)的冷却动力学。
Phys Rev Lett. 2014 May 9;112(18):183001. doi: 10.1103/PhysRevLett.112.183001. Epub 2014 May 8.
10
Enhanced oxidation of nanoparticles through strain-mediated ionic transport.通过应变介导的离子输运增强纳米颗粒的氧化。
Nat Mater. 2014 Jan;13(1):26-30. doi: 10.1038/nmat3785. Epub 2013 Nov 3.