Suppr超能文献

原发性十二指肠腺癌患者的预后因素及临床特征:来自中国的单中心经验

Prognostic Factors and Clinical Characteristics of Patients with Primary Duodenal Adenocarcinoma: A Single-Center Experience from China.

作者信息

Jiang Qing-Long, Huang Xiang-Hui, Chen Ying-Tai, Zhang Jian-Wei, Wang Cheng-Feng

机构信息

Department of Abdominal Surgery, National Cancer Center/Cancer Hospital, Chinese Academy of Medical Sciences and Peking Union Medical College, Beijing 100021, China.

出版信息

Biomed Res Int. 2016;2016:6491049. doi: 10.1155/2016/6491049. Epub 2016 Dec 27.

Abstract

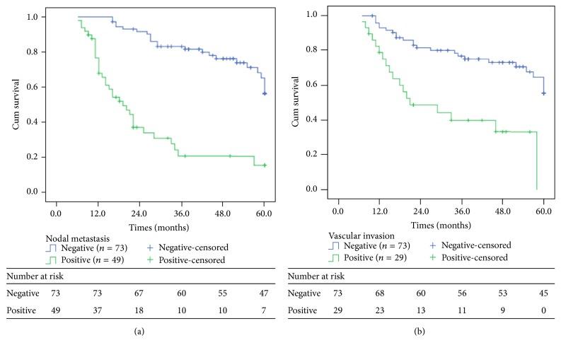
To evaluate the clinical risk factors influencing overall survival of patients with duodenal adenocarcinoma after potentially curative resection. A series of 201 patients with primary duodenal adenocarcinoma who underwent surgery from 1999 to 2014 at Chinese Medical Academic Cancer Hospital were studied by retrospective chart review and subsequent telephone follow-up. Resectional surgery was performed in 138 of the 201 patients to attempt curative treatment, while 63 patients were treated with palliative surgery. Median survival of patients who underwent resectional operation was 57 months, whereas that of patients who had palliative surgery was shorter, 7 months ( < 0.001). For patients who underwent radical resection, the overall 1-, 3-, and 5-year survival rates were 87.3, 59.1, and 44.1%, respectively. Multivariate Cox regression analysis revealed that lymph node metastasis (HR 31.76, 2.14 to 470.8; = 0.012) and vascular invasion (HR 3.75, 1.24 to 11.38; = 0.020) were independent prognostic factors negatively associated with survival in patients undergoing curative resection. There was no survival difference between the groups treated by the pancreaticoduodenectomy ( = 20) and limited resection ( = 10) for early-stage duodenal adenocarcinoma ( = 0.704). Duodenal adenocarcinoma is a rare disease. Curative resection is the best treatment for appropriate patients. Lymph node metastases and vascular invasion are negative prognostic factors.

摘要

评估影响十二指肠腺癌患者行潜在根治性切除术后总生存的临床危险因素。通过回顾性病历审查及随后的电话随访,对1999年至2014年在中国医学科学院肿瘤医院接受手术的201例原发性十二指肠腺癌患者进行了研究。201例患者中138例行根治性手术以尝试根治性治疗,63例接受姑息性手术。接受根治性手术患者的中位生存期为57个月,而接受姑息性手术患者的中位生存期较短,为7个月(P<0.001)。对于接受根治性切除的患者,1年、3年和5年总生存率分别为87.3%、59.1%和44.1%。多因素Cox回归分析显示,淋巴结转移(HR 31.76,2.14至470.8;P = 0.012)和血管侵犯(HR 3.75,1.24至11.38;P = 0.020)是与接受根治性切除患者生存呈负相关的独立预后因素。早期十二指肠腺癌患者中行胰十二指肠切除术(n = 20)和局限性切除术(n = 10)的两组间生存无差异(P = 0.704)。十二指肠腺癌是一种罕见疾病。根治性切除是适合患者的最佳治疗方法。淋巴结转移和血管侵犯是不良预后因素。

https://cdn.ncbi.nlm.nih.gov/pmc/blobs/6599/5222998/c01681ac0f06/BMRI2016-6491049.001.jpg

文献检索

告别复杂PubMed语法,用中文像聊天一样搜索,搜遍4000万医学文献。AI智能推荐,让科研检索更轻松。

立即免费搜索

文件翻译

保留排版,准确专业,支持PDF/Word/PPT等文件格式,支持 12+语言互译。

免费翻译文档

深度研究

AI帮你快速写综述,25分钟生成高质量综述,智能提取关键信息,辅助科研写作。

立即免费体验