Suppr超能文献

低剂量1-三氯甲基-1,2,3,4-四氢-β-咔啉(TaClo)体外表观遗传致癌作用的基础研究

Basic studies on epigenetic carcinogenesis of low-dose exposure to 1-trichloromethyl-1,2,3,4-tetrahydro-β-carboline (TaClo) in vitro.

作者信息

Wang Renjie, Cui Yi, Xu Yi, Irudayaraj Joseph

机构信息

College of Chemistry and Chemical Engineering, Chongqing University, Chongqing, China.

Department of Agricultural and Biological Engineering, Bindley Bioscience Center, Purdue University, West Lafayette, Indiana, United States of America.

出版信息

PLoS One. 2017 Feb 15;12(2):e0172243. doi: 10.1371/journal.pone.0172243. eCollection 2017.

Abstract

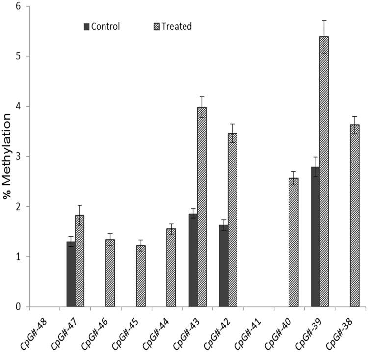
1-Trichloromethyl-1,2,3,4-tetrahydro-β-carboline (TaClo) has been widely studied as a neurotoxic substance, however, only few reports have explored its effect on carcinogenicity. Since the aberrant modification of DNA methylation occurs very early in almost all human cancers, the focus of this study is to assess the carcinogenicity of TaClo by characterizing alterations of the epigenetic state, specifically, DNA methylation, upon exposure to TaClo in a HEK 293 model cell line. Our results suggest that TaClo could induce global DNA hypomethylation and transcriptional repression of critical tumor suppressor genes by increasing their promoter methylation. Enhanced cell proliferation, migration and anchorage independent growth were observed in cells exposed to TaClo. Our study highlights the epigenetic toxicity of TaClo, which contributes to its carcinogenicity by altering the DNA methylation status.

摘要

1-三氯甲基-1,2,3,4-四氢-β-咔啉(TaClo)作为一种神经毒性物质已被广泛研究,然而,仅有少数报告探讨了其对致癌性的影响。由于DNA甲基化的异常修饰几乎在所有人类癌症的早期就会发生,本研究的重点是通过在HEK 293模型细胞系中暴露于TaClo后,表征表观遗传状态的改变,特别是DNA甲基化,来评估TaClo的致癌性。我们的结果表明,TaClo可通过增加关键肿瘤抑制基因的启动子甲基化来诱导全基因组DNA低甲基化和转录抑制。在暴露于TaClo的细胞中观察到细胞增殖、迁移和锚定非依赖性生长增强。我们的研究突出了TaClo的表观遗传毒性,其通过改变DNA甲基化状态导致致癌性。

https://cdn.ncbi.nlm.nih.gov/pmc/blobs/8778/5310788/7519f9d7960c/pone.0172243.g001.jpg

文献检索

告别复杂PubMed语法,用中文像聊天一样搜索,搜遍4000万医学文献。AI智能推荐,让科研检索更轻松。

立即免费搜索

文件翻译

保留排版,准确专业,支持PDF/Word/PPT等文件格式,支持 12+语言互译。

免费翻译文档

深度研究

AI帮你快速写综述,25分钟生成高质量综述,智能提取关键信息,辅助科研写作。

立即免费体验