Suppr超能文献

肝细胞癌经动脉化疗栓塞术后完全缓解和复发的预测因素

Predictive Factors for Complete Response and Recurrence after Transarterial Chemoembolization in Hepatocellular Carcinoma.

作者信息

Jeong Shin Ok, Kim Eui Bae, Jeong Soung Won, Jang Jae Young, Lee Sae Hwan, Kim Sang Gyune, Cha Sang Woo, Kim Young Seok, Cho Young Deok, Kim Hong Soo, Kim Boo Sung, Kim Yong Jae, Goo Dong Erk, Park Su Yeon

机构信息

Institute for Digestive Research and Digestive Disease Center, Department of Internal Medicine, Soonchunhyang University Hospital, Seoul, Korea.

Department of Internal Medicine, Soonchunhyang University Hospital, Cheonan, Korea.

出版信息

Gut Liver. 2017 May 15;11(3):409-416. doi: 10.5009/gnl16001.

Abstract

BACKGROUND/AIMS: To investigate the predictive factors for complete response (CR) and recurrence after CR in patients with hepatocellular carcinoma (HCC) treated with transarterial chemoembolization (TACE).

METHODS

Among 691 newly diagnosed HCC patients, 287 were treated with TACE as a first therapy. We analyzed the predictive factors for CR, recurrence after CR, and overall survival (OS).

RESULTS

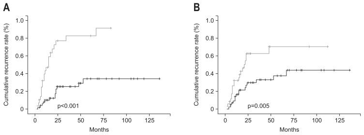
Eighty-one patients (28.2%) achieved CR after TACE, and recurrence after CR was detected in 35 patients (43.2%). In multivariate analyses, tumor size (≤5 cm) and single nodularity were predictive factors for CR, with hazard ratios (HRs) of 0.35 (p=0.002) and 0.41 (p<0.001), respectively. Elevated serum α-fetoprotein (AFP) (>20 ng/mL) level and multinodularity exhibited significant relationships with recurrence after CR, with HRs of 2.220 (p=0.026) and 3.887 (p<0.001), respectively. Tumor size (>5 cm), multinodularity, elevated serum AFP (>20 ng/mL) level, Child-Turcotte-Pugh score (B and C), and portal vein thrombosis were significant factors for OS.

CONCLUSIONS

In patients treated with TACE as a first therapy, tumor size (≤5 cm) and single nodularity were predictive factors for CR, and multinodularity and elevated serum AFP (>20 ng/mL) levels were predictive factors for recurrence after CR. These factors were also significant for OS.

摘要

背景/目的:探讨经动脉化疗栓塞术(TACE)治疗的肝细胞癌(HCC)患者完全缓解(CR)及CR后复发的预测因素。

方法

在691例新诊断的HCC患者中,287例接受TACE作为初始治疗。我们分析了CR、CR后复发及总生存期(OS)的预测因素。

结果

81例患者(28.2%)TACE术后达到CR,35例患者(43.2%)检测到CR后复发。多因素分析中,肿瘤大小(≤5 cm)和单结节性是CR的预测因素,风险比(HRs)分别为0.35(p = 0.002)和0.41(p < 0.001)。血清甲胎蛋白(AFP)水平升高(>20 ng/mL)和多结节性与CR后复发显著相关,HRs分别为2.220(p = 0.026)和3.887(p < 0.001)。肿瘤大小(>5 cm)、多结节性、血清AFP水平升高(>20 ng/mL)、Child-Turcotte-Pugh评分(B和C)及门静脉血栓形成是OS的显著因素。

结论

在接受TACE作为初始治疗的患者中,肿瘤大小(≤5 cm)和单结节性是CR的预测因素,多结节性和血清AFP水平升高(>20 ng/mL)是CR后复发的预测因素。这些因素对OS也有显著影响。

https://cdn.ncbi.nlm.nih.gov/pmc/blobs/d48f/5417784/570a940d7d41/gnl-11-409f1.jpg

文献AI研究员

20分钟写一篇综述,助力文献阅读效率提升50倍。

立即体验

用中文搜PubMed

大模型驱动的PubMed中文搜索引擎

马上搜索

文档翻译

学术文献翻译模型,支持多种主流文档格式。

立即体验