Suppr超能文献

卡培他滨和顺铂(XP)联合全身化疗用于接受过大量前期治疗的HER2阴性转移性乳腺癌患者。

Capecitabine and cisplatin (XP) combination systemic chemotherapy in heavily pre-treated HER2 negative metastatic breast cancer.

作者信息

Lee Jieun, Kim Hyun Ho, Ro Sang Mi, Yang Ji Hyun

机构信息

Division of Medical Oncology, Department of Internal Medicine, College of Medicine, The Catholic University of Korea, Seoul, Korea.

Cancer Research Institute, The Catholic University of Korea, Seoul, Korea.

出版信息

PLoS One. 2017 Feb 24;12(2):e0171605. doi: 10.1371/journal.pone.0171605. eCollection 2017.

Abstract

PURPOSE/OBJECTIVE(S): After taxane and anthracycline failure, no standard chemotherapy regimen is established in metastatic breast cancer (MBC). Capecitabine and cisplatin (XP) combination shows promising results in gastrointestinal cancer, but there are relatively scarce data in MBC. We reviewed the clinical outcome of XP regimen in anthracycline and taxane resistant, heavily pretreated MBC patients.

MATERIALS/METHODS: Between Jan. 2010 to Feb. 2016, 48 HER2 negative MBC patients who failed anthracycline and taxane based chemotherapy were enrolled. In 43.8% of patients, more than 4 regimens were administrated before XP. Thirty-four patients (70.8%) were hormone receptor (HR) positive MBC. Patients were treated with XP (capecitabine [2000mg/m2 per oral; day 1-14] plus cisplatin [60mg/m2 IV; day 1], every 3 weeks) regimen.

RESULTS

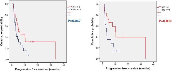
Median progression-free survival (PFS) in total population was 4.33 months (range 1.133.57 months). HR positive patients showed trends for superior PFS compared to triple negative breast cancer (TNBC), without statistical significance (6.53 vs. 3.83 months, P = 0.168). In HR positive group, patients receiving 3 or less lines of chemotherapy showed superior PFS compared to others (10.1 vs. 3.0 months, P = 0.039). In multivariate analysis, HR positive patients receiving 3 or less lines of regimens still showed superior PFS (HR = 2.624, 95% CI; 1.0716.43, P = 0.032). Most common toxicity was grade 3-4 neutropenia, without treatment-related deaths.

CONCLUSIONS

XP combination regimen showed clinical benefit with tolerable toxicity in heavily pretreated patients, including HR positive patients. After anthracycline and taxane failure, early administration of XP regimen in selected patients may have improve clinical outcome in breast cancer.

摘要

目的

在紫杉烷和蒽环类药物治疗失败后,转移性乳腺癌(MBC)尚无标准的化疗方案。卡培他滨和顺铂(XP)联合方案在胃肠道癌中显示出有前景的结果,但在MBC中的数据相对较少。我们回顾了XP方案在蒽环类和紫杉烷耐药、经过大量治疗的MBC患者中的临床结局。

材料与方法

2010年1月至2016年2月,纳入48例HER2阴性且蒽环类和紫杉烷类化疗失败的MBC患者。43.8%的患者在接受XP治疗前接受了超过4种方案的治疗。34例患者(70.8%)为激素受体(HR)阳性的MBC。患者接受XP方案(卡培他滨[口服2000mg/m²;第1 - 14天]加顺铂[静脉注射60mg/m²;第1天],每3周一次)治疗。

结果

总体人群的中位无进展生存期(PFS)为4.33个月(范围1.133.57个月)。HR阳性患者的PFS有高于三阴性乳腺癌(TNBC)的趋势,但无统计学意义(6.53对3.83个月,P = 0.168)。在HR阳性组中,接受3线或更少化疗的患者的PFS优于其他患者(10.1对3.0个月,P = 0.039)。多因素分析中,接受3线或更少方案治疗的HR阳性患者的PFS仍更高(HR = 2.624,95%CI;1.0716.43,P = 0.032)。最常见的毒性是3 - 4级中性粒细胞减少,无治疗相关死亡。

结论

XP联合方案在包括HR阳性患者在内的经过大量治疗的患者中显示出临床获益且毒性可耐受。在蒽环类和紫杉烷类治疗失败后,对选定患者早期给予XP方案可能改善乳腺癌的临床结局。

https://cdn.ncbi.nlm.nih.gov/pmc/blobs/1130/5325186/166e91da52cd/pone.0171605.g001.jpg

文献AI研究员

20分钟写一篇综述,助力文献阅读效率提升50倍。

立即体验

用中文搜PubMed

大模型驱动的PubMed中文搜索引擎

马上搜索

文档翻译

学术文献翻译模型,支持多种主流文档格式。

立即体验