Suppr超能文献

十二烷基硫酸钠与鼠李糖脂混合物的吸附和聚集活性

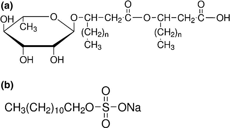
Adsorption and Aggregation Activity of Sodium Dodecyl Sulfate and Rhamnolipid Mixture.

作者信息

Mańko Diana, Zdziennicka Anna, Jańczuk Bronisław

机构信息

Department of Interfacial Phenomena, Faculty of Chemistry, Maria Curie-Skłodowska University, Maria Curie-Skłodowska Sq. 3, 20-031 Lublin, Poland.

出版信息

J Surfactants Deterg. 2017;20(2):411-423. doi: 10.1007/s11743-016-1916-6. Epub 2016 Dec 10.

Abstract

Measurements of the surface tension, density and viscosity of sodium dodecyl sulfate (SDS) and rhamnolipid (RL) mixtures were carried out in aqueous solution. From the obtained results, composition of mixed surface layer at the water-air interface, mixed micelles, parameter of intermolecular interactions, activity of SDS and RL in the surface layer and micelles, Gibbs standard free energy of adsorption and micellization as well as Gibbs free energy of SDS and RL mixing in the surface layer and micelles were established. These parameters were discussed in the light of independent adsorption of SDS and RL and the size of their molecules as well as the area in contact with water molecules. A correlation between the number of water molecules in contact with those of SDS and RL and standard free energy of adsorption as well as micellization of these surfactants was observed. A correlation between the apparent and partial molar volumes of RL and SDS in their mixture and size of surfactant molecules as well as the average distance between molecules was also found. The parameter of intermolecular interactions indicates that there is a synergetic effect in the reduction of water surface tension and micelle formation.

摘要

在水溶液中对十二烷基硫酸钠(SDS)和鼠李糖脂(RL)混合物的表面张力、密度和粘度进行了测量。根据所得结果,确定了水 - 空气界面混合表面层的组成、混合胶束、分子间相互作用参数、SDS和RL在表面层及胶束中的活性、吸附和胶束化的吉布斯标准自由能以及SDS和RL在表面层及胶束中的混合吉布斯自由能。根据SDS和RL的独立吸附、它们分子的大小以及与水分子接触的面积对这些参数进行了讨论。观察到与SDS和RL接触的水分子数量与这些表面活性剂的吸附标准自由能以及胶束化之间的相关性。还发现了RL和SDS混合物中表观和偏摩尔体积与表面活性剂分子大小以及分子间平均距离之间的相关性。分子间相互作用参数表明在降低水表面张力和形成胶束方面存在协同效应。

https://cdn.ncbi.nlm.nih.gov/pmc/blobs/0bea/5320015/95bb86ec5ded/11743_2016_1916_Fig1_HTML.jpg

文献AI研究员

20分钟写一篇综述,助力文献阅读效率提升50倍。

立即体验

用中文搜PubMed

大模型驱动的PubMed中文搜索引擎

马上搜索

文档翻译

学术文献翻译模型,支持多种主流文档格式。

立即体验