Suppr超能文献

分枝杆菌培养物包含细胞大小和密度特定的细胞亚群,这些亚群对抗生素、氧化应激和亚硝酸盐应激具有显著不同的敏感性。

Mycobacterial Cultures Contain Cell Size and Density Specific Sub-populations of Cells with Significant Differential Susceptibility to Antibiotics, Oxidative and Nitrite Stress.

作者信息

Vijay Srinivasan, Nair Rashmi Ravindran, Sharan Deepti, Jakkala Kishor, Mukkayyan Nagaraja, Swaminath Sharmada, Pradhan Atul, Joshi Niranjan V, Ajitkumar Parthasarathi

机构信息

Department of Microbiology and Cell Biology, Indian Institute of Science Bangalore, India.

Centre for Ecological Sciences, Indian Institute of Science Bangalore, India.

出版信息

Front Microbiol. 2017 Mar 21;8:463. doi: 10.3389/fmicb.2017.00463. eCollection 2017.

Abstract

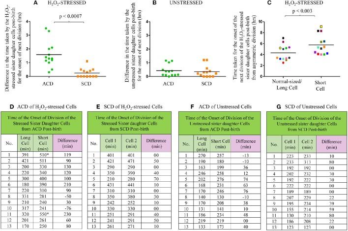
The present study shows the existence of two specific sub-populations of and cells differing in size and density, in the id-og hase (MLP) cultures, with significant differential susceptibility to antibiotic, oxidative, and nitrite stress. One of these sub-populations (10% of the total population), contained hort-sized ells (SCs) generated through highly-deviated asymmetric cell division (ACD) of normal/long-sized mother cells and symmetric cell divisions (SCD) of short-sized mother cells. The other sub-population (90% of the total population) contained ormal/long-sized ells (NCs). The SCs were acid-fast stainable and heat-susceptible, and contained high density of membrane vesicles (MVs, known to be lipid-rich) on their surface, while the NCs possessed negligible density of MVs on the surface, as revealed by scanning and transmission electron microscopy. Percoll density gradient fractionation of MLP cultures showed the s-enriched raction (SCF) at lower density (probably indicating lipid-richness) and the s-enriched raction (NCF) at higher density of percoll fractions. While live cell imaging showed that the SCs and the NCs could grow and divide to form colony on agarose pads, the SCF, and NCF cells could independently regenerate MLP populations in liquid and solid media, indicating their full genomic content and population regeneration potential. CFU based assays showed the SCF cells to be significantly more susceptible than NCF cells to a range of concentrations of rifampicin and isoniazid (antibiotic stress), HO (oxidative stress),and acidified NaNO (nitrite stress). Live cell imaging showed significantly higher susceptibility of the SCs of SC-NC sister daughter cell pairs, formed from highly-deviated ACD of normal/long-sized mother cells, to rifampicin and HO, as compared to the sister daughter NCs, irrespective of their comparable growth rates. The SC-SC sister daughter cell pairs, formed from the SCDs of short-sized mother cells and having comparable growth rates, always showed comparable stress-susceptibility. These observations and the presence of SCs and NCs in pulmonary tuberculosis patients' sputum earlier reported by us imply a physiological role for the SCs and the NCs under the stress conditions. The plausible reasons for the higher stress susceptibility of SCs and lower stress susceptibility of NCs are discussed.

摘要

本研究表明,在起始阶段(MLP)培养物中存在两种大小和密度不同的特定亚群的细胞,它们对抗生素、氧化和亚硝酸盐应激具有显著的差异敏感性。其中一个亚群(约占总群体的10%)包含通过正常/长形母细胞的高度偏离不对称细胞分裂(ACD)和短形母细胞的对称细胞分裂(SCD)产生的短形细胞(SCs)。另一个亚群(约占总群体的90%)包含正常/长形细胞(NCs)。SCs对耐酸性染色且对热敏感,其表面含有高密度的膜泡(MVs,已知富含脂质),而扫描和透射电子显微镜显示NCs表面的MVs密度可忽略不计。MLP培养物的Percoll密度梯度分级显示,在较低密度下有富含SCs的级分(SCF,可能表明富含脂质),在较高密度的Percoll级分中有富含NCs的级分(NCF)。活细胞成像显示,SCs和NCs能够生长并分裂在琼脂糖垫上形成菌落,而SCF和NCF细胞能够在液体和固体培养基中独立再生MLP群体,表明它们具有完整的基因组内容和群体再生潜力。基于CFU的测定表明,SCF细胞比NCF细胞对一系列浓度的利福平、异烟肼(抗生素应激)、H₂O₂(氧化应激)和酸化NaNO₂(亚硝酸盐应激)更敏感。活细胞成像显示,由正常/长形母细胞的高度偏离ACD形成的SC-NC姐妹子细胞对中的SCs,与姐妹子细胞NCs相比,无论其生长速率如何,对利福平和H₂O₂的敏感性显著更高。由短形母细胞的SCD形成且生长速率相当的SC-SC姐妹子细胞对,总是表现出相当的应激敏感性。我们之前报道的肺结核患者痰液中存在SCs和NCs这些观察结果意味着SCs和NCs在应激条件下具有生理作用。讨论了SCs应激敏感性较高和NCs应激敏感性较低的可能原因。

https://cdn.ncbi.nlm.nih.gov/pmc/blobs/4904/5359288/c35193bac2e6/fmicb-08-00463-g0001.jpg

文献AI研究员

20分钟写一篇综述,助力文献阅读效率提升50倍。

立即体验

用中文搜PubMed

大模型驱动的PubMed中文搜索引擎

马上搜索

文档翻译

学术文献翻译模型,支持多种主流文档格式。

立即体验