Suppr超能文献

急性髓性白血病细胞分泌通过自分泌和旁分泌机制刺激细胞摄取低密度脂蛋白的因子。

Acute Myelogenous Leukemia Cells Secrete Factors that Stimulate Cellular LDL Uptake via Autocrine and Paracrine Mechanisms.

作者信息

Bhuiyan Hasanuzzaman, Masquelier Michèle, Tatidis Loukas, Gruber Astrid, Paul Christer, Vitols Sigurd

机构信息

Department of Medicine, Clinical Pharmacology Unit, Karolinska Institute, Karolinska University Hospital, Solna, 17176, Stockholm, Sweden.

Centre for Haematology and Regenerative Medicine, Karolinska Institute, Karolinska University Hospital, Solna, 171 76, Stockholm, Sweden.

出版信息

Lipids. 2017 Jun;52(6):523-534. doi: 10.1007/s11745-017-4256-z. Epub 2017 May 9.

Abstract

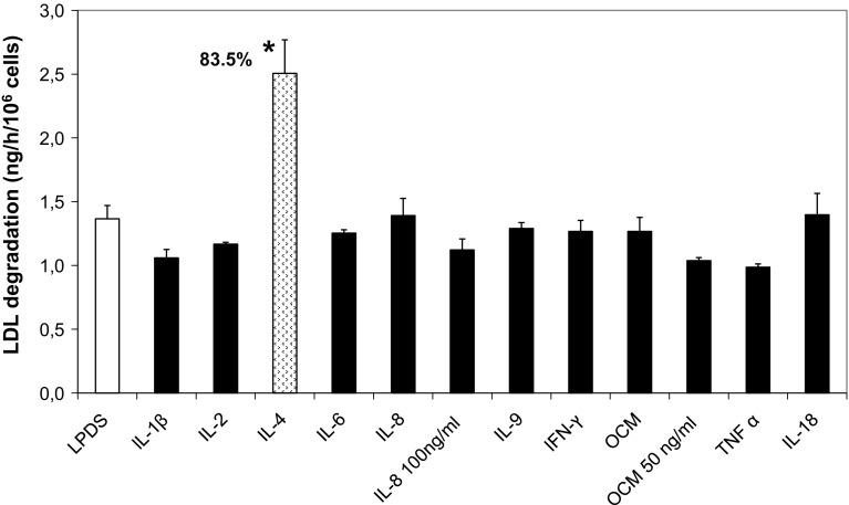
Leukemic cells isolated from most patients with acute myelogenous leukemia (AML) have higher low density lipoprotein (LDL) uptake than normal mononuclear blood cells. Little is known, however, about the mechanism behind the elevated LDL uptake. We investigated if AML cells secrete factors that stimulate cellular LDL uptake. Mononuclear blood cells were isolated from peripheral blood from 42 patients with AML at diagnosis. Cellular LDL uptake was determined from the degradation rate of I-labelled LDL. Conditioned media from AML cells stimulated the LDL degradation in the leukemic cell lines KG1 and HL60, and in isolated AML cells. The stimulatory effect correlated with the LDL degradation in the AML cells directly after isolation from blood. Conditioned media also autostimulated LDL degradation in the AML cells themselves. Concentrations of IL-6 and IL-8 in AML cell conditioned media correlated with the LDL degradation in AML cells directly after isolation from blood. Addition of R-TNF-α, but not IL-6 or IL-8, stimulated LDL degradation in HL60, KG1, and AML cells. The LDL degradation in AML cells could be inhibited by a LDL receptor blocking antibody. AML cells secrete factors that stimulate LDL uptake in a paracrine and autocrine pattern which open up therapeutic possibilities to inhibit the uptake of LDL by administration of antibodies to these factors.

摘要

从大多数急性髓性白血病(AML)患者中分离出的白血病细胞比正常单核血细胞具有更高的低密度脂蛋白(LDL)摄取率。然而,对于LDL摄取升高背后的机制知之甚少。我们研究了AML细胞是否分泌刺激细胞LDL摄取的因子。从42例初诊AML患者的外周血中分离出单核血细胞。通过I标记的LDL的降解率来测定细胞LDL摄取。AML细胞的条件培养基刺激白血病细胞系KG1和HL60以及分离出的AML细胞中的LDL降解。这种刺激作用与从血液中分离后直接在AML细胞中的LDL降解相关。条件培养基也能自身刺激AML细胞自身的LDL降解。AML细胞条件培养基中IL-6和IL-8的浓度与从血液中分离后直接在AML细胞中的LDL降解相关。添加重组肿瘤坏死因子-α(R-TNF-α),而不是IL-6或IL-8,可刺激HL60、KG1和AML细胞中的LDL降解。AML细胞中的LDL降解可被LDL受体阻断抗体抑制。AML细胞以旁分泌和自分泌模式分泌刺激LDL摄取的因子,这为通过给予针对这些因子的抗体来抑制LDL摄取开辟了治疗可能性。

https://cdn.ncbi.nlm.nih.gov/pmc/blobs/e894/5486594/3d55642b3444/11745_2017_4256_Fig1_HTML.jpg

文献检索

告别复杂PubMed语法,用中文像聊天一样搜索,搜遍4000万医学文献。AI智能推荐,让科研检索更轻松。

立即免费搜索

文件翻译

保留排版,准确专业,支持PDF/Word/PPT等文件格式,支持 12+语言互译。

免费翻译文档

深度研究

AI帮你快速写综述,25分钟生成高质量综述,智能提取关键信息,辅助科研写作。

立即免费体验