Suppr超能文献

新型联合镇痛方案的疼痛改善情况(PAIN-CARE):随机对照试验方案

Pain Improvement With Novel Combination Analgesic Regimens (PAIN-CARE): Randomized Controlled Trial Protocol.

作者信息

Gilron Ian, Tu Dongsheng, Holden Ronald, Jackson Alan C, Ghasemlou Nader, Duggan Scott, Vandenkerkhof Elizabeth, Milev Roumen

机构信息

Queen's University, Department of Anesthesiology and Perioperative Medicine, Kingston, ON, Canada.

Queen's University, Kingston, ON, Canada.

出版信息

JMIR Res Protoc. 2017 Jun 8;6(6):e111. doi: 10.2196/resprot.7493.

Abstract

BACKGROUND

Neuropathic pain (NP) (including painful diabetic neuropathy, postherpetic neuralgia, etc) affects approximately 7% to 8% of the population and is associated with a devastating symptom burden as well as a profound economic impact for patients, their families, and the health care system. Current therapies have limited efficacy and dose-limiting adverse effects (AEs). Rational combination therapy with carefully selected NP drugs has shown potential for measurable improvements in pain relief, quality of life, and health care use. Today, over half of NP patients concurrently receive 2 or more analgesics but combination use is based on little evidence. Research is urgently needed to identify safer, more effective combinations.

OBJECTIVE

We hypothesize that analgesic combinations containing at least 1 nonsedating agent would be as safe but more effective than either monotherapy without increasing overall AEs because of additive pain relief. Pregabalin (PGB), a sedating anticonvulsant, is proven effective for NP; the antioxidant alpha-lipoic acid (ALA) is one of the only nonsedating systemic agents proven effective for NP. Thus, we will conduct a clinical trial to compare a PGB+ALA combination to each monotherapy for NP.

METHODS

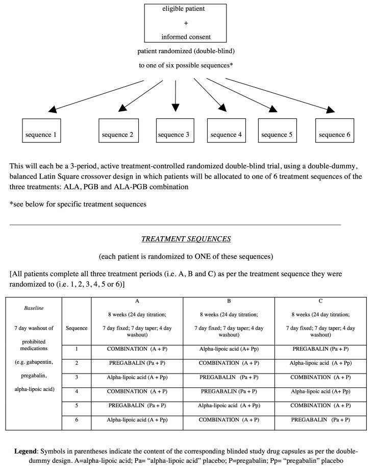
Using a double-blind, double-dummy, crossover design, 54 adults with NP will be randomly allocated to 1 of 6 sequences of treatment with PGB, ALA and PGB+ALA combination. During each of 3 different treatment periods, participants will take 2 sets of capsules containing (1) ALA or placebo and (2) PGB or placebo for 31 days, followed by an 11-day taper/washout period. The primary outcome will be mean daily pain intensity (0-10) at maximally tolerated dose (MTD) during each period. Secondary outcomes, assessed at MTD, will include global improvement, adverse events, mood, and quality of life.

RESULTS

Participant recruitment is expected to begin September 1, 2017. The proposed trial was awarded external peer-reviewed funding by the Canadian Institutes of Health Research (Canada) on July 15, 2016.

CONCLUSIONS

This trial will provide rigorous evidence comparing the efficacy of a PGB+ALA combination to PGB alone and ALA alone in the treatment of NP.

TRIAL REGISTRATION

International Standard Randomized Controlled Trial Number ISRCTN14577546; http://www.isrctn.com/ISRCTN14577546?q=&filters=conditionCategory:Signs%20and%20Symptoms,trialStatus: Ongoing,recruitmentCountry:Canada&sort=&offset=1&totalResults=2&page=1&pageSize=10&searchType=basic-search (Archived by WebCite at http://www.webcitation.org/6qvHFDc6m).

摘要

背景

神经性疼痛(NP)(包括糖尿病性疼痛性神经病变、带状疱疹后神经痛等)影响着约7%至8%的人群,给患者、其家庭及医疗保健系统带来了严重的症状负担和巨大的经济影响。目前的治疗方法疗效有限且存在剂量限制性不良反应(AE)。精心挑选NP药物进行合理的联合治疗已显示出在缓解疼痛、改善生活质量及减少医疗保健使用方面有可衡量改善的潜力。如今,超过半数的NP患者同时服用两种或更多种镇痛药,但联合用药缺乏充分证据。迫切需要开展研究以确定更安全、更有效的联合用药方案。

目的

我们假设,含有至少一种非镇静剂的镇痛联合用药与单一疗法一样安全,但由于能增强镇痛效果,所以比单一疗法更有效,且不会增加总体AE。普瑞巴林(PGB)是一种具有镇静作用的抗惊厥药,已被证明对NP有效;抗氧化剂α-硫辛酸(ALA)是仅有的几种被证明对NP有效的非镇静性全身用药之一。因此,我们将开展一项临床试验,比较PGB + ALA联合用药与NP单一疗法的效果。

方法

采用双盲、双模拟、交叉设计,54名患有NP的成年人将被随机分配到PGB、ALA及PGB + ALA联合用药这6种治疗顺序中的一种。在3个不同的治疗阶段,参与者将服用两组胶囊,每组服用31天,其中一组含有(1)ALA或安慰剂,另一组含有(2)PGB或安慰剂,随后是为期11天的减量/洗脱期。主要结局指标将是每个阶段最大耐受剂量(MTD)下的每日平均疼痛强度(0 - 10)。在MTD水平评估的次要结局指标将包括整体改善情况、不良事件、情绪及生活质量。

结果

预计2017年9月1日开始招募参与者。2016年7月15日,该拟进行的试验获得了加拿大卫生研究院(加拿大)的外部同行评审资助。

结论

本试验将提供严谨的证据,比较PGB + ALA联合用药与单独使用PGB及单独使用ALA治疗NP的疗效。

试验注册号

国际标准随机对照试验编号ISRCTN14577546;http://www.isrctn.com/ISRCTN14577546?q=&filters=conditionCategory:Signs%20and%20Symptoms,trialStatus: Ongoing,recruitmentCountry:Canada&sort=&offset=1&totalResults=2&page=1&pageSize=10&searchType=basic-search(由WebCite存档于http://www.webcitation.org/6qvHFDc6m)

https://cdn.ncbi.nlm.nih.gov/pmc/blobs/c51d/5481665/4aed88da15a2/resprot_v6i6e111_fig1.jpg

文献AI研究员

20分钟写一篇综述,助力文献阅读效率提升50倍。

立即体验

用中文搜PubMed

大模型驱动的PubMed中文搜索引擎

马上搜索

文档翻译

学术文献翻译模型,支持多种主流文档格式。

立即体验