Int Panis Luc, Provost Eline B, Cox Bianca, Louwies Tijs, Laeremans Michelle, Standaert Arnout, Dons Evi, Holmstock Luc, Nawrot Tim, De Boever Patrick
Flemish Institute for Technological Research (VITO), Boeretang 200, 2400, Mol, Belgium.
Transportation Research Institute, Hasselt University, Diepenbeek, Belgium.
Environ Health. 2017 Jun 14;16(1):60. doi: 10.1186/s12940-017-0271-z.
Daily changes in ambient concentrations of particulate matter, nitrogen oxides and ozone are associated with increased cardiopulmonary morbidity and mortality, with the lungs and their function being a vulnerable target.
To evaluate the association between daily changes in air pollution and lung function in healthy adults we obtained annual lung function measurements from a routine worker health surveillance program not designed for research purposes. Forced Vital Capacity (FVC), Forced Expiratory Volume in the first second (FEV1), FEV1/FVC and Peak Expiratory flow (PEF) from a cohort of 2449 employees were associated with daily measurements of PM, NO and ozone at a nearby monitoring station in the North of Belgium. Repeated measures were available for the period 2011-2015.
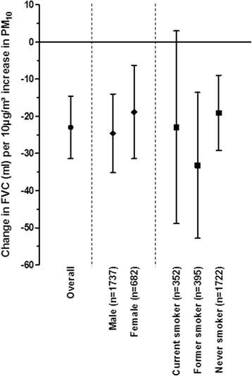
The mean (SD) PM concentration on the day of the lung function test was 24.9 (15.5) μg/m. A 10 μg PM/m increase on the day of the clinical examination was associated with a 18.9 ml lower FVC (95% CI: -27.5 to -10.3, p < 0.0001), 12.8 ml lower FEV1 (-19.1 to -6.5; p < 0.0001), and a 51.4 ml/s lower PEF (-75.0 to -27.0; p < 0.0001). The FEV1/FVC-ratio showed no associations. An increase of 10 μgNO/m was associated with a reduction in PEF (-66.1 ml/s (-106.6 to -25.6; p < 0.001)) on the day of the examination.
We found negative associations between daily variations in ambient air pollution and FVC, FEV1 and PEF in healthy adults.
颗粒物、氮氧化物和臭氧的环境浓度每日变化与心肺疾病发病率和死亡率增加相关,肺部及其功能是一个易受影响的目标。
为评估空气污染每日变化与健康成年人肺功能之间的关联,我们从一项非研究目的的常规工人健康监测项目中获取了年度肺功能测量数据。来自2449名员工队列的用力肺活量(FVC)、第一秒用力呼气量(FEV1)、FEV1/FVC和呼气峰值流速(PEF)与比利时北部附近监测站的PM、NO和臭氧每日测量值相关。2011年至2015年期间可获得重复测量数据。
肺功能测试当天的平均(标准差)PM浓度为24.9(15.5)μg/m。临床检查当天PM浓度每增加10μg/m,FVC降低18.9ml(95%置信区间:-27.5至-10.3,p<0.0001),FEV1降低12.8ml(-19.1至-6.5;p<0.0001),PEF降低51.4ml/s(-75.0至-27.0;p<0.0001)。FEV1/FVC比值未显示出相关性。检查当天NO浓度每增加10μg/m,PEF降低(-66.1ml/s(-106.6至-25.6;p<0.001))。
我们发现健康成年人环境空气污染的每日变化与FVC、FEV1和PEF之间存在负相关。