• 文献检索
  • 文档翻译
  • 深度研究
  • 学术资讯
  • Suppr Zotero 插件Zotero 插件
  • 邀请有礼
  • 套餐&价格
  • 历史记录
应用&插件
Suppr Zotero 插件Zotero 插件浏览器插件Mac 客户端Windows 客户端微信小程序
定价
高级版会员购买积分包购买API积分包
服务
文献检索文档翻译深度研究API 文档MCP 服务
关于我们
关于 Suppr公司介绍联系我们用户协议隐私条款
关注我们

Suppr 超能文献

核心技术专利:CN118964589B侵权必究
粤ICP备2023148730 号-1Suppr @ 2026

文献检索

告别复杂PubMed语法,用中文像聊天一样搜索,搜遍4000万医学文献。AI智能推荐,让科研检索更轻松。

立即免费搜索

文件翻译

保留排版,准确专业,支持PDF/Word/PPT等文件格式,支持 12+语言互译。

免费翻译文档

深度研究

AI帮你快速写综述,25分钟生成高质量综述,智能提取关键信息,辅助科研写作。

立即免费体验

在一个地方性植物物种的小的隔离种群中,基因流动的益处由自交亲和性的个体变异性介导。

Benefits of gene flow are mediated by individual variability in self-compatibility in small isolated populations of an endemic plant species.

作者信息

Frye Christopher T, Neel Maile C

机构信息

Natural Heritage Program Maryland Department of Natural Resources Wildlife and Heritage Service Wye Mills MD USA.

Department of Plant Science and Landscape Architecture University of Maryland College Park MD USA.

出版信息

Evol Appl. 2016 Dec 26;10(6):551-562. doi: 10.1111/eva.12437. eCollection 2017 Jul.

DOI:10.1111/eva.12437
PMID:28616063
原文链接:https://pmc.ncbi.nlm.nih.gov/articles/PMC5469166/
Abstract

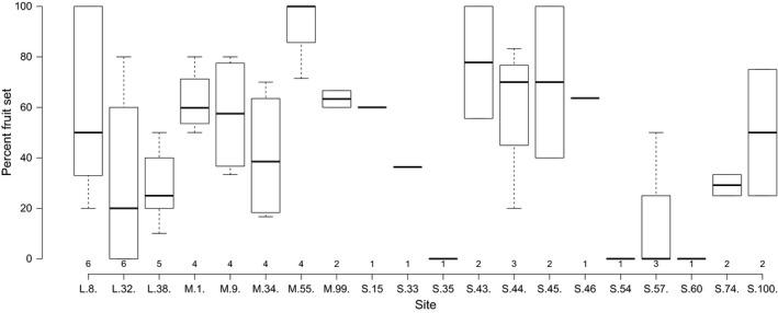
Many rare and endemic species experience increased rates of self-fertilization and mating among close relatives as a consequence of existing in small populations within isolated habitat patches. Variability in self-compatibility among individuals within populations may reflect adaptation to local demography and genetic architecture, inbreeding, or drift. We use experimental hand-pollinations under natural field conditions to assess the effects of gene flow in 21 populations of the central Appalachian endemic that varied in population size and degree of isolation. We quantified the effects of distance from pollen source on pollination success and fruit set. Rates of self-compatibility varied dramatically among maternal plants, ranging from 0% to 100%. This variation was unrelated to population size or degree of isolation. Nearly continuous variation in the success of selfing and near-cross-matings via hand pollination suggests that expresses pseudo-self-fertility, whereby plants carrying the same S-allele mate successfully by altering the self-incompatibility reaction. However, outcrossing among populations produced significantly higher fruit set than within populations, an indication of drift load. These results are consistent with strong selection acting to break down self-incompatibility in these small populations and/or early-acting inbreeding depression expressed upon selfing.

摘要

由于生活在孤立栖息地斑块内的小种群中,许多珍稀和特有物种的自花受精率和近亲交配率有所增加。种群内个体间自交亲和性的差异可能反映了对当地人口统计学和遗传结构的适应、近亲繁殖或遗传漂变。我们在自然田间条件下进行实验性人工授粉,以评估基因流对阿巴拉契亚中部21个特有种群的影响,这些种群在种群大小和隔离程度上存在差异。我们量化了距花粉源的距离对授粉成功率和坐果率的影响。母本植物的自交亲和率差异很大,从0%到100%不等。这种差异与种群大小或隔离程度无关。通过人工授粉进行的自交和近交交配成功率几乎呈连续变化,这表明[物种名称]表现出假自交能育性,即携带相同S等位基因的植物通过改变自交不亲和反应而成功交配。然而,种群间的异交产生的坐果率明显高于种群内,这表明存在遗传漂变负荷。这些结果与强烈的选择作用相一致,这种选择作用打破了这些小种群中的自交不亲和性和/或自交时表现出的早期近亲繁殖衰退。

https://cdn.ncbi.nlm.nih.gov/pmc/blobs/0ee4/5469166/7b02230d578e/EVA-10-551-g003.jpg
https://cdn.ncbi.nlm.nih.gov/pmc/blobs/0ee4/5469166/cd2cf0e215c7/EVA-10-551-g001.jpg
https://cdn.ncbi.nlm.nih.gov/pmc/blobs/0ee4/5469166/2bbfe501f608/EVA-10-551-g002.jpg
https://cdn.ncbi.nlm.nih.gov/pmc/blobs/0ee4/5469166/7b02230d578e/EVA-10-551-g003.jpg
https://cdn.ncbi.nlm.nih.gov/pmc/blobs/0ee4/5469166/cd2cf0e215c7/EVA-10-551-g001.jpg
https://cdn.ncbi.nlm.nih.gov/pmc/blobs/0ee4/5469166/2bbfe501f608/EVA-10-551-g002.jpg
https://cdn.ncbi.nlm.nih.gov/pmc/blobs/0ee4/5469166/7b02230d578e/EVA-10-551-g003.jpg

相似文献

1
Benefits of gene flow are mediated by individual variability in self-compatibility in small isolated populations of an endemic plant species.在一个地方性植物物种的小的隔离种群中,基因流动的益处由自交亲和性的个体变异性介导。
Evol Appl. 2016 Dec 26;10(6):551-562. doi: 10.1111/eva.12437. eCollection 2017 Jul.
2
How common is self-incompatibility across species of the herkogamous genus Ariocarpus?雌雄同体属的仙人球种间自交不亲和现象有多普遍?
Am J Bot. 2014 Mar;101(3):530-8. doi: 10.3732/ajb.1400022. Epub 2014 Mar 7.
3
Pollen limitation and reduced reproductive success are associated with local genetic effects in Prunus virginiana, a widely distributed self-incompatible shrub.花粉限制和繁殖成功率降低与弗吉尼亚李(一种广泛分布的自交不亲和灌木)的局部遗传效应有关。
Ann Bot. 2014 Mar;113(4):595-605. doi: 10.1093/aob/mct289. Epub 2013 Dec 9.
4
Reproductive success through high pollinator visitation rates despite self incompatibility in an endangered wallflower.尽管一种濒危桂竹香存在自交不亲和现象,但通过传粉者的高访花率实现了繁殖成功。
Am J Bot. 2016 Nov;103(11):1979-1989. doi: 10.3732/ajb.1600193. Epub 2016 Nov 18.
5
Influence of spatial distribution and size of clones on the realized outcrossing rate of the marsh cinquefoil (Comarum palustre).克隆的空间分布和大小对沼泽羊胡子草(Comarum palustre)实现的异交率的影响。
Ann Bot. 2014 Feb;113(3):477-87. doi: 10.1093/aob/mct280. Epub 2013 Nov 26.
6
Rapid loss of self-incompatibility in experimental populations of the perennial outcrossing plant Linaria cavanillesii.多年生异交植物林奈木实验种群中自交不亲和性的快速丧失。
Evolution. 2019 May;73(5):913-926. doi: 10.1111/evo.13721. Epub 2019 Mar 28.
7
Variation in pollen limitation and floral parasitism across a mating system transition in a Pacific coastal dune plant: evolutionary causes or ecological consequences?太平洋沿岸沙丘植物交配系统转变过程中花粉限制和花寄生现象的变化:进化原因还是生态后果?
Ann Bot. 2015 Feb;115(2):315-26. doi: 10.1093/aob/mcu243. Epub 2014 Dec 22.
8
Mixed pollen load and late-acting self-incompatibility flexibility in Adenocalymma peregrinum (Miers) L.G. Lohmann (Bignonieae: Bignoniaceae).腺萼西番莲(Miers)L.G. 洛曼(紫葳科:紫葳族)中的混合花粉负荷与迟效自交不亲和灵活性
Plant Biol (Stuttg). 2017 Mar;19(2):140-146. doi: 10.1111/plb.12526. Epub 2016 Dec 21.
9
High lifetime inbreeding depression counteracts the reproductive assurance benefit of selfing in a mass-flowering shrub.在一种大量开花的灌木中,高终生近亲繁殖衰退抵消了自花授粉的繁殖保障益处。
BMC Evol Biol. 2014 Nov 30;14:243. doi: 10.1186/s12862-014-0243-7.
10
The natural history of pollination and mating in bird-pollinated Babiana (Iridaceae).鸟类传粉的 Babiana(鸢尾科)授粉和交配的自然历史。
Ann Bot. 2012 Feb;109(3):667-79. doi: 10.1093/aob/mcr172. Epub 2011 Aug 10.

引用本文的文献

1
Population size affected by environmental variability impacts genetics, traits, and plant performance in L.受环境变异性影响的种群大小会影响番茄的遗传、性状和植株表现。 (注:原文中“L.”推测可能是指番茄属植物番茄Lycopersicon esculentum,这里按常见情况补充完整翻译)
Ecol Evol. 2023 Aug 7;13(8):e10376. doi: 10.1002/ece3.10376. eCollection 2023 Aug.
2
Habitat characteristics and climatic factors influence microhabitat selection and arthropod community structure in a globally rare central Appalachian shale barren.栖息地特征和气候因素影响着全球稀有的阿巴拉契亚中部页岩荒地中的微生境选择和节肢动物群落结构。
Ecol Evol. 2021 Dec 1;11(24):18169-18180. doi: 10.1002/ece3.8413. eCollection 2021 Dec.

本文引用的文献

1
EVOLUTION OF THE MAGNITUDE AND TIMING OF INBREEDING DEPRESSION IN PLANTS.植物近亲繁殖衰退的程度及时间演变
Evolution. 1996 Feb;50(1):54-70. doi: 10.1111/j.1558-5646.1996.tb04472.x.
2
On the consequences of ignoring purging on genetic recommendations for minimum viable population rules.关于忽视清除对最小可行种群规则的遗传建议的后果。
Heredity (Edinb). 2015 Sep;115(3):185-7. doi: 10.1038/hdy.2015.28. Epub 2015 Apr 15.
3
Genetic rescue of small inbred populations: meta-analysis reveals large and consistent benefits of gene flow.
小近交种群的基因拯救:荟萃分析揭示了基因流动的巨大且一致的益处。
Mol Ecol. 2015 Jun;24(11):2610-8. doi: 10.1111/mec.13139. Epub 2015 Mar 23.
4
High lifetime inbreeding depression counteracts the reproductive assurance benefit of selfing in a mass-flowering shrub.在一种大量开花的灌木中,高终生近亲繁殖衰退抵消了自花授粉的繁殖保障益处。
BMC Evol Biol. 2014 Nov 30;14:243. doi: 10.1186/s12862-014-0243-7.
5
Representing connectivity: quantifying effective habitat availability based on area and connectivity for conservation status assessment and recovery.代表性连接性:基于面积和连接性量化有效栖息地可用性,用于保护状况评估和恢复。
PeerJ. 2014 Oct 9;2:e622. doi: 10.7717/peerj.622. eCollection 2014.
6
Genetic architecture of inbreeding depression and the maintenance of gametophytic self-incompatibility.近亲繁殖衰退的遗传结构与配子体自交不亲和性的维持。
Evolution. 2014 Nov;68(11):3317-24. doi: 10.1111/evo.12495. Epub 2014 Sep 4.
7
Life history mediates mate limitation and population viability in self-incompatible plant species.生活史调节自交不亲和植物物种中的配偶限制和种群生存力。
Ecol Evol. 2014 Mar;4(6):673-87. doi: 10.1002/ece3.963. Epub 2014 Feb 13.
8
Pollen flow in fragmented landscapes maintains genetic diversity following stand-replacing disturbance in a neotropical pioneer tree, Vochysia ferruginea Mart.在新热带先锋树种 Vochysia ferruginea Mart. 发生林分更替干扰后,破碎化景观中的花粉流维持了遗传多样性。
Heredity (Edinb). 2015 Aug;115(2):125-9. doi: 10.1038/hdy.2013.95. Epub 2013 Oct 9.
9
Drift load in populations of small size and low density.小种群和低密度种群中的漂流负荷。
Heredity (Edinb). 2013 Mar;110(3):296-302. doi: 10.1038/hdy.2012.86. Epub 2012 Dec 5.
10
Evaluating contemporary pollen dispersal in two common grassland species Ranunculus bulbosus L. (Ranunculaceae) and Trifolium montanum L. (Fabaceae) using an experimental approach.采用实验方法评估两种常见草原物种毛茛(毛茛科)和天蓝苜蓿(豆科)的当代花粉扩散。
Plant Biol (Stuttg). 2013 May;15(3):583-92. doi: 10.1111/j.1438-8677.2012.00667.x. Epub 2012 Sep 28.