Suppr超能文献

提高直接醇燃料电池中钯基催化剂的电催化性能:固溶体的作用。

Improving the electrocatalytic properties of Pd-based catalyst for direct alcohol fuel cells: effect of solid solution.

机构信息

College of Materials Science and Engineering, Fuzhou University, Fuzhou, Fujian, 350116, P.R. China.

National Key Laboratory of Science and Technology on Micro/Nano Fabrication, Key Laboratory for Thin Film and Microfabrication of the Ministry of Education, Department of Micro/Nano Electronics, School of Electronic Information and Electrical Engineering, Shanghai Jiao Tong University, Shanghai, 200240, P.R. China.

出版信息

Sci Rep. 2017 Jul 7;7(1):4907. doi: 10.1038/s41598-017-05323-y.

Abstract

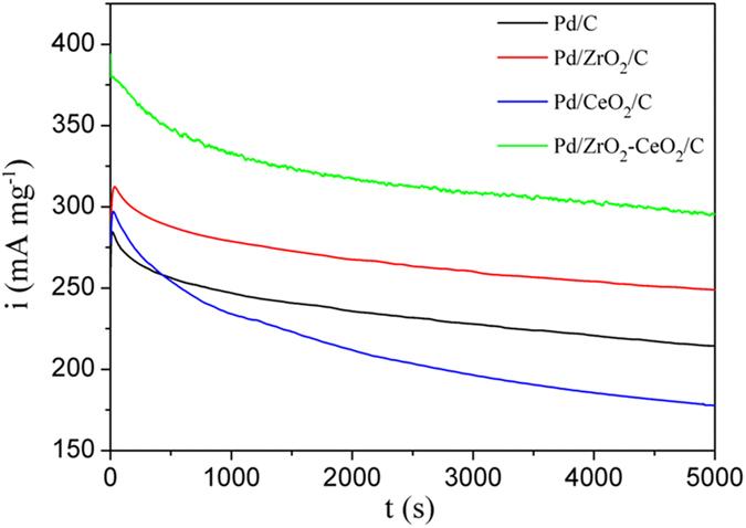
The tolerance of the electrode against the CO species absorbed upon the surface presents the biggest dilemma of the alcohol fuel cells. Here we report for the first time that the inclusion of (Zr, Ce)O solid solution as the supporting material can significantly improve the anti-CO-poisoning as well as the activity of Pd/C catalyst for ethylene glycol electro-oxidation in KOH medium. In particular, the physical origin of the improved electrocatalytic properties has been unraveled by first principle calculations. The 3D stereoscopic Pd cluster on the surface of (Zr, Ce)O solid solution leads to weaker Pd-C bonding and smaller CO desorption driving force. These results support that the Pd/ZrO-CeO/C composite catalyst could be used as a promising effective candidate for direct alcohol fuel cells application.

摘要

电极对表面吸收的 CO 物种的耐受性是醇燃料电池面临的最大难题。在这里,我们首次报道了(Zr、Ce)O 固溶体作为支撑材料的加入可以显著提高 Pd/C 催化剂对乙二醇在 KOH 介质中电氧化的抗 CO 中毒能力和活性。特别是,通过第一性原理计算揭示了改善电催化性能的物理起源。(Zr、Ce)O 固溶体表面的 3D 立体 Pd 簇导致 Pd-C 键较弱,CO 脱附驱动力较小。这些结果表明,Pd/ZrO-CeO/C 复合催化剂有望成为直接醇燃料电池应用的一种很有前途的有效候选材料。

https://cdn.ncbi.nlm.nih.gov/pmc/blobs/159c/5501847/fbc591e38ca3/41598_2017_5323_Fig1_HTML.jpg

文献AI研究员

20分钟写一篇综述,助力文献阅读效率提升50倍。

立即体验

用中文搜PubMed

大模型驱动的PubMed中文搜索引擎

马上搜索

文档翻译

学术文献翻译模型,支持多种主流文档格式。

立即体验