• 文献检索
  • 文档翻译
  • 深度研究
  • 学术资讯
  • Suppr Zotero 插件Zotero 插件
  • 邀请有礼
  • 套餐&价格
  • 历史记录
应用&插件
Suppr Zotero 插件Zotero 插件浏览器插件Mac 客户端Windows 客户端微信小程序
定价
高级版会员购买积分包购买API积分包
服务
文献检索文档翻译深度研究API 文档MCP 服务
关于我们
关于 Suppr公司介绍联系我们用户协议隐私条款
关注我们

Suppr 超能文献

核心技术专利:CN118964589B侵权必究
粤ICP备2023148730 号-1Suppr @ 2026

文献检索

告别复杂PubMed语法,用中文像聊天一样搜索,搜遍4000万医学文献。AI智能推荐,让科研检索更轻松。

立即免费搜索

文件翻译

保留排版,准确专业,支持PDF/Word/PPT等文件格式,支持 12+语言互译。

免费翻译文档

深度研究

AI帮你快速写综述,25分钟生成高质量综述,智能提取关键信息,辅助科研写作。

立即免费体验

β-罗勒烯,一种参与植物与其他生物多种相互作用的关键花香和叶香挥发性物质。

β-Ocimene, a Key Floral and Foliar Volatile Involved in Multiple Interactions between Plants and Other Organisms.

作者信息

Farré-Armengol Gerard, Filella Iolanda, Llusià Joan, Peñuelas Josep

机构信息

CSIC, Global Ecology Unit CREAF-CSIC-UAB, Bellaterra, 08193 Barcelona, Catalonia, Spain.

CREAF, Cerdanyola del Vallès, 08193 Barcelona, Catalonia, Spain.

出版信息

Molecules. 2017 Jul 13;22(7):1148. doi: 10.3390/molecules22071148.

DOI:10.3390/molecules22071148
PMID:28703755
原文链接:https://pmc.ncbi.nlm.nih.gov/articles/PMC6152128/
Abstract

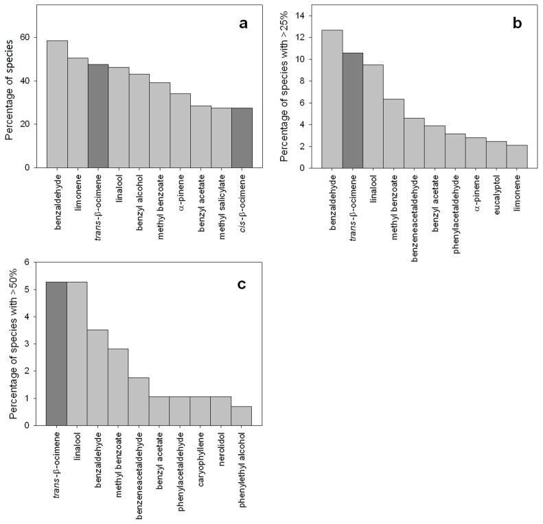
β-Ocimene is a very common plant volatile released in important amounts from the leaves and flowers of many plant species. This acyclic monoterpene can play several biological functions in plants, by potentially affecting floral visitors and also by mediating defensive responses to herbivory. The ubiquity and high relative abundance of β-ocimene in the floral scents of species from most plant families and from different pollination syndromes (ranging from generalism to specialism) strongly suggest that this terpenoid may play an important role in the attraction of pollinators to flowers. We compiled abundant evidence from published studies that supports β-ocimene as a generalist attractant of a wide spectrum of pollinators. We found no studies testing behavioural responses of pollinators to β-ocimene, that could directly demonstrate or deny the function of β-ocimene in pollinator attraction; but several case studies support that the emissions of β-ocimene in flowers of different species follow marked temporal and spatial patterns of emission, which are typical from floral volatile organic compound (VOC) emissions that are involved in pollinator attraction. Furthermore, important β-ocimene emissions are induced from vegetative plant tissues after herbivory in many species, which have relevant functions in the establishment of tritrophic interactions. We thus conclude that β-ocimene is a key plant volatile with multiple relevant functions in plants, depending on the organ and the time of emission. Experimental behavioural studies on pure β-ocimene conducted with pollinating insects will be necessary to prove the assumptions made here.

摘要

β-罗勒烯是一种非常常见的植物挥发物,许多植物种类的叶子和花朵都会大量释放这种物质。这种无环单萜在植物中可发挥多种生物学功能,它可能会影响访花者,还能介导植物对食草动物的防御反应。在大多数植物科以及不同授粉综合征(从泛化授粉到特化授粉)的植物花香中,β-罗勒烯普遍存在且相对含量较高,这有力地表明这种萜类化合物可能在吸引传粉者到花朵方面发挥重要作用。我们从已发表的研究中收集了大量证据,这些证据支持β-罗勒烯是多种传粉者的通用引诱剂。我们没有找到测试传粉者对β-罗勒烯行为反应的研究,这些研究可以直接证明或否定β-罗勒烯在吸引传粉者方面的作用;但一些案例研究表明,不同物种花朵中β-罗勒烯的释放遵循明显的时间和空间模式,这是参与吸引传粉者的花香挥发性有机化合物(VOC)释放的典型特征。此外,在许多物种中,食草动物啃食后,植物营养组织会诱导产生重要的β-罗勒烯排放,这在建立三级营养相互作用中具有相关功能。因此,我们得出结论,β-罗勒烯是一种关键的植物挥发物,在植物中具有多种相关功能,这取决于其释放的器官和时间。有必要对传粉昆虫进行关于纯β-罗勒烯的实验行为研究,以验证此处提出的假设。

https://cdn.ncbi.nlm.nih.gov/pmc/blobs/fb9b/6152128/5237d5b60e11/molecules-22-01148-g003.jpg
https://cdn.ncbi.nlm.nih.gov/pmc/blobs/fb9b/6152128/244859404abf/molecules-22-01148-g001.jpg
https://cdn.ncbi.nlm.nih.gov/pmc/blobs/fb9b/6152128/6656a0d29978/molecules-22-01148-g002.jpg
https://cdn.ncbi.nlm.nih.gov/pmc/blobs/fb9b/6152128/5237d5b60e11/molecules-22-01148-g003.jpg
https://cdn.ncbi.nlm.nih.gov/pmc/blobs/fb9b/6152128/244859404abf/molecules-22-01148-g001.jpg
https://cdn.ncbi.nlm.nih.gov/pmc/blobs/fb9b/6152128/6656a0d29978/molecules-22-01148-g002.jpg
https://cdn.ncbi.nlm.nih.gov/pmc/blobs/fb9b/6152128/5237d5b60e11/molecules-22-01148-g003.jpg

相似文献

1
β-Ocimene, a Key Floral and Foliar Volatile Involved in Multiple Interactions between Plants and Other Organisms.β-罗勒烯,一种参与植物与其他生物多种相互作用的关键花香和叶香挥发性物质。
Molecules. 2017 Jul 13;22(7):1148. doi: 10.3390/molecules22071148.
2
Floral volatile alleles can contribute to pollinator-mediated reproductive isolation in monkeyflowers (Mimulus).花挥发性等位基因可导致猴面花(沟酸浆属)中传粉者介导的生殖隔离。
Plant J. 2014 Dec;80(6):1031-42. doi: 10.1111/tpj.12702. Epub 2014 Nov 7.
3
Deciphering the Biotic and Climatic Factors That Influence Floral Scents: A Systematic Review of Floral Volatile Emissions.解析影响花香的生物和气候因素:花香挥发物排放的系统综述
Front Plant Sci. 2020 Jul 31;11:1154. doi: 10.3389/fpls.2020.01154. eCollection 2020.
4
Identification and Evaluation of Aromatic Volatile Compounds in 26 Cultivars and 8 Hybrids of .鉴定和评价 26 个品种和 8 个杂种 的芳香挥发性化合物。
Molecules. 2021 Jul 25;26(15):4482. doi: 10.3390/molecules26154482.
5
The effect of genetically enriched (E)-β-ocimene and the role of floral scent in the attraction of the predatory mite Phytoseiulus persimilis to spider mite-induced volatile blends of torenia.富含(E)-β-罗勒烯的遗传效应及其在捕食性螨虫智利小植绥螨对朱砂叶螨诱导的罗勒挥发物混合物的吸引力中的作用。
New Phytol. 2012 Mar;193(4):1009-1021. doi: 10.1111/j.1469-8137.2011.04018.x. Epub 2012 Jan 13.
6
Drought and leaf herbivory influence floral volatiles and pollinator attraction.干旱和叶片食草作用影响花卉挥发物及传粉者吸引力。
Glob Chang Biol. 2016 Apr;22(4):1644-54. doi: 10.1111/gcb.13149. Epub 2016 Feb 9.
7
Tobacco overexpressing β-ocimene induces direct and indirect responses against aphids in receiver tomato plants.过量表达β-罗勒烯的烟草会在受体番茄植株中引发针对蚜虫的直接和间接反应。
J Plant Physiol. 2015 Jan 15;173:28-32. doi: 10.1016/j.jplph.2014.08.011. Epub 2014 Sep 2.
8
Herbivory Increases Fruit Set in Silene latifolia: A Consequence of Induced Pollinator-Attracting Floral Volatiles?食草作用增加了宽叶蝇子草的坐果率:是诱导吸引传粉者的花香挥发物的结果吗?
J Chem Ecol. 2015 Jul;41(7):622-30. doi: 10.1007/s10886-015-0597-3. Epub 2015 Jun 18.
9
Medicago truncatula (E)-beta-ocimene synthase is induced by insect herbivory with corresponding increases in emission of volatile ocimene.蒺藜苜蓿的(E)-β-罗勒烯合酶受昆虫取食诱导,同时挥发性罗勒烯的释放量相应增加。
Plant Physiol Biochem. 2009 May;47(5):416-25. doi: 10.1016/j.plaphy.2009.01.008. Epub 2009 Feb 8.
10
Herbivory and floral signaling: phenotypic plasticity and tradeoffs between reproduction and indirect defense.食草作用与花香信号传导:表型可塑性以及繁殖与间接防御之间的权衡
New Phytol. 2014 Jul;203(1):257-66. doi: 10.1111/nph.12783. Epub 2014 Mar 28.

引用本文的文献

1
Symbiosis with Mycorrhizal Fungi Alters Sesquiterpene but not Monoterpene Profile in the South American Willow Salix humboldtiana.与菌根真菌的共生改变了南美柳树洪堡柳的倍半萜类化合物组成,但未改变单萜类化合物组成。
J Chem Ecol. 2025 Jun 26;51(4):70. doi: 10.1007/s10886-025-01615-0.
2
Red light enhances the storage quality and flavor of Chinese cabbage during a short shelf life.红光可在短保质期内提高大白菜的贮藏品质和风味。
Curr Res Food Sci. 2025 Jun 5;10:101105. doi: 10.1016/j.crfs.2025.101105. eCollection 2025.
3
Impacts of Mechanical Injury on Volatile Emission Rate and Composition in 45 Subtropical Woody Broad-Leaved Storage and Non-Storage Emitters.

本文引用的文献

1
Volatile organic compound emissions from under interacting drought and herbivory stresses.干旱与食草动物相互作用胁迫下的挥发性有机化合物排放
Environ Exp Bot. 2014 Apr;100:55-63. doi: 10.1016/j.envexpbot.2013.12.011.
2
Post-pollination emission of a repellent compound in a sexually deceptive orchid: a new mechanism for maximising reproductive success?性欺骗型兰花授粉后驱避化合物的释放:一种使繁殖成功率最大化的新机制?
Oecologia. 2001 Feb;126(4):531-534. doi: 10.1007/s004420000552. Epub 2001 Feb 1.
3
Floral volatiles: from biosynthesis to function.
机械损伤对45种亚热带木本阔叶贮藏和非贮藏挥发物释放者挥发物释放速率及成分的影响
Plants (Basel). 2025 Mar 6;14(5):821. doi: 10.3390/plants14050821.
4
Metabolomic and transcriptomic analyses provide insight into the variation of floral scent and molecular regulation in different cultivars and flower development of .代谢组学和转录组学分析有助于深入了解不同品种及其花朵发育过程中花香的变化和分子调控。
Hortic Res. 2024 Dec 12;12(3):uhae348. doi: 10.1093/hr/uhae348. eCollection 2025 Mar.
5
Low-pressure cold plasma pretreatment: Impact on quality attributes of "Fan Retief" guava and efficacy against Colletotrichum gloeosporioides.低压冷等离子体预处理:对“范雷蒂夫”番石榴品质属性的影响及对胶孢炭疽菌的防治效果
J Food Sci. 2025 Feb;90(2):e70058. doi: 10.1111/1750-3841.70058.
6
The Convergent Evolution of Hummingbird Pollination Results in Repeated Floral Scent Loss Through Gene Downregulation.蜂鸟传粉的趋同进化导致通过基因下调反复出现花香丧失。
Mol Biol Evol. 2025 Feb 3;42(2). doi: 10.1093/molbev/msaf027.
7
Insights into the aroma volatiles and the changes of expression of ester biosynthesis candidate genes during postharvest storage of European pear.欧洲梨采后贮藏期间香气挥发物及酯生物合成候选基因表达变化的研究
Front Plant Sci. 2024 Nov 29;15:1498658. doi: 10.3389/fpls.2024.1498658. eCollection 2024.
8
The reproductive strategy of a typical distylous (Rubiaceae), in fragmented habitat.典型二型花柱植物(茜草科)在破碎化生境中的繁殖策略。
Front Plant Sci. 2024 Nov 4;15:1492402. doi: 10.3389/fpls.2024.1492402. eCollection 2024.
9
The heat is on: reduced detection of floral scents after heatwaves in bumblebees.热浪来袭:热浪过后熊蜂对花香的探测减少。
Proc Biol Sci. 2024 Aug;291(2029):20240352. doi: 10.1098/rspb.2024.0352. Epub 2024 Aug 28.
10
Emerging Trends in Ant-Pollinator Conflict in Extrafloral Nectary-Bearing Plants.具花外蜜腺植物中蚂蚁与传粉者冲突的新趋势
Plants (Basel). 2024 Feb 27;13(5):651. doi: 10.3390/plants13050651.
花卉挥发物:从生物合成到功能
Plant Cell Environ. 2014 Aug;37(8):1936-49. doi: 10.1111/pce.12314. Epub 2014 Apr 14.
4
Floral advertisement scent in a changing plant-pollinators market.不断变化的植物-传粉者市场中的花香广告气味
Sci Rep. 2013 Dec 5;3:3434. doi: 10.1038/srep03434.
5
Intraspecific combinations of flower and leaf volatiles act together in attracting hawkmoth pollinators.种内花和叶挥发物组合共同作用吸引天蛾传粉者。
PLoS One. 2013 Sep 12;8(9):e72805. doi: 10.1371/journal.pone.0072805. eCollection 2013.
6
Inbreeding in horsenettle (Solanum carolinense) alters night-time volatile emissions that guide oviposition by Manduca sexta moths.马缨丹(Solanum carolinense)的近亲繁殖改变了夜间挥发性排放物,从而影响烟青虫(Manduca sexta)的产卵行为。
Proc Biol Sci. 2013 Feb 27;280(1757):20130020. doi: 10.1098/rspb.2013.0020. Print 2013 Apr 22.
7
The major volatile organic compound emitted from Arabidopsis thaliana flowers, the sesquiterpene (E)-β-caryophyllene, is a defense against a bacterial pathogen.拟南芥花朵中释放的主要挥发性有机化合物,倍半萜烯(E)-β-石竹烯,是抵御细菌病原体的防御物质。
New Phytol. 2012 Mar;193(4):997-1008. doi: 10.1111/j.1469-8137.2011.04001.x. Epub 2011 Dec 20.
8
Population density and feeding duration of cabbage looper larvae on tomato plants alter the levels of plant volatile emissions.种群密度和取食时间会改变菜粉蝶幼虫在番茄植株上的取食行为,进而影响番茄植株挥发性物质的释放水平。
Pest Manag Sci. 2012 Jan;68(1):101-7. doi: 10.1002/ps.2229. Epub 2011 Oct 27.
9
Composition of epiphytic bacterial communities differs on petals and leaves.附生细菌群落的组成在花瓣和叶片上存在差异。
Plant Biol (Stuttg). 2011 Nov;13(6):918-24. doi: 10.1111/j.1438-8677.2011.00454.x. Epub 2011 Mar 3.
10
Herbivory-mediated pollinator limitation: negative impacts of induced volatiles on plant-pollinator interactions.食草动物介导的传粉者限制:诱导挥发物对植物-传粉者相互作用的负面影响。
Ecology. 2011 Sep;92(9):1769-80. doi: 10.1890/10-1945.1.