Chandra Mondal Kartik, Roy Sudipta, Dittrich Birger, Maity Bholanath, Dutta Sayan, Koley Debasis, Vasa Suresh Kumar, Linser Rasmus, Dechert Sebastian, Roesky Herbert W
Institut für Anorganische Chemie , Georg-August-Universität , 37077 Göttingen , Germany . Email:
Institut für Anorganische und Angewandte Chemie , Universität Hamburg , 20146 Hamburg , Germany , Raum AC 15c (Erdgeschoss).
Chem Sci. 2015 Sep 1;6(9):5230-5234. doi: 10.1039/c5sc01516b. Epub 2015 Jun 18.
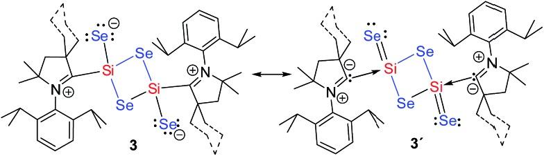
Silicondiselenide is a semiconductor and exists as an insoluble polymer (SiSe) which is prepared by reacting elemental silicon with selenium powder in the temperature range of 400-850 °C. Herein, we report on the synthesis, isolation, and characterization of carbene stabilized molecular silicondiselenide in the form of (cAAC)SiSe () [cAAC = cyclic alkyl(amino)carbene]. is synthesized reaction of diatomic silicon(0) compound (cAAC)Si () with black selenium powder at -78 °C to room temperature. The intensely orange colored compound is soluble in polar organic solvents and stable at room temperature for a month under an inert atmosphere. decomposes above 245 °C. The molecular structure of has been confirmed by X-ray single crystal diffraction. It is also characterized by UV-vis, IR, Raman spectroscopy and mass spectrometry. The stability, bonding, and electron density distributions of have been studied by theoretical calculations.
硅二硒化物是一种半导体,以不溶性聚合物(SiSe)的形式存在,它是通过在400-850°C的温度范围内将元素硅与硒粉反应制备而成。在此,我们报告了卡宾稳定的分子硅二硒化物(cAAC)SiSe()[cAAC = 环状烷基(氨基)卡宾]的合成、分离和表征。(cAAC)SiSe是通过双原子硅(0)化合物(cAAC)Si()与黑色硒粉在-78°C至室温下反应合成的。这种强烈橙色的化合物可溶于极性有机溶剂,在惰性气氛下于室温下稳定一个月。它在245°C以上分解。(cAAC)SiSe的分子结构已通过X射线单晶衍射得到证实。它还通过紫外可见光谱、红外光谱、拉曼光谱和质谱进行了表征。通过理论计算研究了(cAAC)SiSe的稳定性、键合和电子密度分布。